
تاريخ الفيزياء

علماء الفيزياء


الفيزياء الكلاسيكية

الميكانيك

الديناميكا الحرارية


الكهربائية والمغناطيسية

الكهربائية

المغناطيسية

الكهرومغناطيسية


علم البصريات

تاريخ علم البصريات

الضوء

مواضيع عامة في علم البصريات

الصوت


الفيزياء الحديثة


النظرية النسبية

النظرية النسبية الخاصة

النظرية النسبية العامة

مواضيع عامة في النظرية النسبية

ميكانيكا الكم

الفيزياء الذرية

الفيزياء الجزيئية


الفيزياء النووية

مواضيع عامة في الفيزياء النووية

النشاط الاشعاعي


فيزياء الحالة الصلبة

الموصلات

أشباه الموصلات

العوازل

مواضيع عامة في الفيزياء الصلبة

فيزياء الجوامد


الليزر

أنواع الليزر

بعض تطبيقات الليزر

مواضيع عامة في الليزر


علم الفلك

تاريخ وعلماء علم الفلك

الثقوب السوداء


المجموعة الشمسية

الشمس

كوكب عطارد

كوكب الزهرة

كوكب الأرض

كوكب المريخ

كوكب المشتري

كوكب زحل

كوكب أورانوس

كوكب نبتون

كوكب بلوتو

القمر

كواكب ومواضيع اخرى

مواضيع عامة في علم الفلك

النجوم

البلازما

الألكترونيات

خواص المادة


الطاقة البديلة

الطاقة الشمسية

مواضيع عامة في الطاقة البديلة

المد والجزر

فيزياء الجسيمات


الفيزياء والعلوم الأخرى

الفيزياء الكيميائية

الفيزياء الرياضية

الفيزياء الحيوية

الفيزياء والفلسفة

الفيزياء العامة


مواضيع عامة في الفيزياء

تجارب فيزيائية

مصطلحات وتعاريف فيزيائية

وحدات القياس الفيزيائية

طرائف الفيزياء

مواضيع اخرى
الانكسار عند الأسطح المستوية
المؤلف:
محمد جواد جادر النعيمي
المصدر:
الضوء الهندسي
الجزء والصفحة:
21-7-2016
7325
الانكسار عند الأسطح المستوية
إذا مر شعاع ضوئي من وسط شفاف متجانس إلى آخر فانه ينكسر عند السطح المستوى الفاصل وفقا للقوانين الآتية:
القانون الأول:
النسبة بين جيب زاوية السقوط و جيب زاوية الانكسار تساوى مقدار ثابت و ذلك لجميع زوايا السقوط.

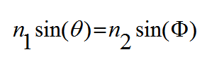
فإذا كان XY يمثل سطحا مستويا يفصل بين وسطين معامل انكسارهما n2, n1 و أن AB يمثل الشعاع الضوئي الساقط و أن BC يمثل الشعاع المنكسر، فان
(1)
هذا القانون يعرف بقانون سنل. وقد بين سنل أن قيمة المقدار الثابت هي النسبة بين معاملي انكسار الوسطين. و من ذلك هذه العلاقة تأخذ الصورة:
(2)
التي يمكن كتابتها على الصورة:
(3)
و إذا كان أحد معاملي الانكسار أو كلاهما مختلف عن الوحدة، فان النسبة بين معاملي الانكسار تسمى معامل الانكسار النسبي و العلاقة ( 2) تأخذ الشكل:
(4)
و إذا كان الوسط الأول هو الفراغ أيn1= ، فان قيمة المعامل النسبي ستكون هي نفس قيمة معامل انكسار الوسط الثاني. و يمكن الحصول على نفس النتيجة تقريبا عندما يكون الوسط الأول هو الهواء وليس الفراغ.
و عندما تكون زوايا السقوط و الانكسار صغيرة جدا، فانه يمكننا وضع جيوب الزوايا مساوية للزوايا ذاتها أي أن:

و بذلك نحصل على
(5)
القانون الثاني:
الشعاع الساقط و العمود و الشعاع المنكسر يقعوا جميعا في مستوى واحد عمودي على السطح الفاصل بين الوسطين.
الاكثر قراءة في الضوء
اخر الاخبار
اخبار العتبة العباسية المقدسة
الآخبار الصحية

قسم الشؤون الفكرية يصدر كتاباً يوثق تاريخ السدانة في العتبة العباسية المقدسة
"المهمة".. إصدار قصصي يوثّق القصص الفائزة في مسابقة فتوى الدفاع المقدسة للقصة القصيرة
(نوافذ).. إصدار أدبي يوثق القصص الفائزة في مسابقة الإمام العسكري (عليه السلام)