Supersonic non-adiabatic spherical accretion
The Bondi–Hoyle accretion model provides analytical expressions which give a good first look at the accretion process, but it is simplistic and makes many assumptions that are invalid for Sgr A*. For example, the accreting gas near Sgr A* is likely to be relativistic, but the gas at large radius is not. Also, the gas cools via radiation and heats via the reconnection of magnetic field lines. Thus, γ is not constant and an adiabatic solution is inaccurate. Since most of the radiation may be coming from near the black hole, we will set up the relativistic hydrodynamic equations which can then be numerically evaluated. In order to make the problem tractable we assume the gas consists of fully ionized hydrogen so that ni = ne = n.
We replace above as:

with the relativistic Euler equation for a spherical geometry:
(1.1)
where the pressure is given by
(1.2)
and
(1.3)
In the non-relativistic limit, H reduces to 1/ρ. The particle mass-energy density is
(1.4)
and the internal energy density of the gas is
(1.5)
In the fully ionized but non-relativistic limit, i.e. 105 K < T < 6×109 K, α = 3. However, in the relativistic electron limit, but still non-relativistic for the protons, so that 6 × 109 K < T < 1013 K, α = 9/2. For a smooth transition, we use the general expression from Chandrasekhar (1939) that is valid for all T :
(1.6)
where x ≡ mec2/kBT , y ≡ mpc2/kBT and Ki refers to the i th order modified Bessel function. If the gas is everywhere non-relativistic and in the absence of heating and cooling, these equations reduce to a γ = 5/3 adiabatic gas.
To include the braking effects of radiation pressure, we include a term Prad in the pressure (1.2) and a term 3Prad in the internal energy density (1.5) where
(1.7)
Here, νm is the frequency below which the radiative emission at that radius is highly absorbed. Thus, the optical depth, τ∞r (νm), from r to infinity is approximately unity. The Planck energy distribution, uP, in the low-frequency Rayleigh-Jeans limit is simply 2ν2kBT/c3, so that
(1.8)
In the Rayleigh–Jeans limit, hνm << kBT ; for Sgr A* we find that this is always true. In general, νm reaches a maximum value of <1012 Hz near the black hole but drops off roughly as r−1 so that as long as n > 105 cm−3 near the black hole, the effects of radiation pressure are negligible. This is expected since the luminosity of Sgr A* is vastly sub-Eddington.
Substituting the definitions (1.2), (1.4), and (1.4) into (1.1), we solve for the derivative of the velocity
(1.9)
For simplicity, we write u' as the sum of two terms:
(1.10)
where
(1.11)
and
(1.12)
The form of these expressions is that of the classic wind equations (e.g. Parker 1960, Melia 1988). In the model we consider here, the gas is supersonic at infinity and remains supersonic throughout its inward trajectory. We therefore avoid the special handling required for solutions that cross any sonic points, where the denominator of (1.9) vanishes.
With heating and cooling, we can no longer for our equation of state. We use a modified form of the first law of thermodynamics:
(1.13)
where Γ and Λ are the frequency-integrated heating and cooling emissivities, respectively.
These equations assume that the magnetic field is radial; that is, u × B = 0 and there is no large-scale current. Thus, the compression of the gas is parallel to the magnetic field lines and we can ignore the magnetic pressure. If the magnetic field at large radius is assumed to originate from multiple stellar sources, it will be tangled and the three components of the field will be roughly equal. As the gas accretes, it is compressed radially and, in the absence of any dissipation or reconnection, the radial component will grow as 1/r2 while the tangential components will only grow as 1/r . Therefore, for r < RA we can assume the magnetic field is predominantly radial; in all that follows we ignore the tangential component of the magnetic field. However, due to the ‘no hair’ theorem, the magnetic field must be purely tangential at the event horizon of a black hole; we shall assume for now that this occurs infinitesmally close to the event horizon. In this model, the magnetic field serves only to determine Γ, the heating term.
The expressions for P and ϵ, dividing by u, taking the derivative, and rearranging gives
(1.14)
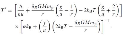
Removing u' via (1.10), we can solve for T ':
(1.15)
Given a prescription for Γ and appropriate boundary conditions, (1.15) can be numerically evaluated and thus, (1.10), the temperature, density, and velocity profiles can be determined.
The radiative cooling term, Λ, includes emission due to magnetic bremsstrahlung, electron-ion and electron-electron thermal bremsstrahlung, and line cooling, but it does not depend on any derivatives (see Melia and Coker 1999 for emissivity expressions). Local UV heating from the massive stars near Sgr A* results in a minimum gas temperature of 104−5 K (Tamblyn et al 1996), but the shocked stellar winds at the model’s outer radius, RA, are expected to be hotter than 105 K. Thus, the only non-compressive heating term needed in Γ is that due to magnetic field reconnection. Also, although the expression for Λ depends on the density of ions and electrons, we can here safely assume ne = ni = n. Following Ipser and Price (1982), for the heating term, we use
(1.16)
or
(1.17)
where B is the magnetic field. If the magnetic field is flux conserved, for which B(r ) ∝ r−2, then no reconnection takes place and Γ = 0. However, if the density profile is similar to that from adiabatic accretion, then B(r ) ∝ r−5/4, and Γ > 0. In the case of a dynamo, B increases more rapidly than r−2 and Γ < 0 so that the magnetic field actually cools the gas.
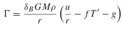
A common assumption is that the magnetic field is in equipartition with some characteristic energy density in the flow. For simplicity we will here assume the magnetic energy density scales with the gravitational potential energy density so that
(1.18)
where δB is a constant scale factor. However, Γ now depends on T ' so that (10.51) must be rearranged. With B given by (1.18), (10.16) becomes
(1.19)
so that
(1.20)
Given δB, M, and boundary values for T , ρ, and u, we can determine the profiles for perfectly convergent supersonic accretion. A representative result for the temperature profile, using values typical for Sgr A*, is shown in figure 1.1 for various values of δB. The velocity and density profiles are very close to those for pure Bondi-Hoyle accretion (r−1/2 and r−3/2 respectively), but the temperature profile deviates significantly from r−1 due to the magnetic heating and the change in the equation of state as the electrons become relativistic. Note that with heating and cooling, there are additional length scales present so the solution no longer scales perfectly with the accretion radius.
If the magnetic field is tied to the kinetic or thermal energy density, one gets similar results to figure 1.1. However, based on the fact that magnetic

Figure 1.1. Example temperature profiles from solving (10.56). The outer radius of the integration is RA. Boundary values are v∞ = 750 km s−1, T∞ = 106 K, ˙M = 1021 g s−1. The three curves correspond to δB = 0 (full), 0.01 (dotted), and 0.03 (dashed). The black hole mass M = 2.6 × 106Mּ.
reconnection is not constant so that the field may be sub equipartition at large radii and super equipartition at small radii (Melia and Lowalenko 2001), attempts were made to fit the spectrum of Sgr A* using an arbitrary magnetic field profile. The results (Coker and Melia 2000) suggest the flow consists of three regions: a nearly equipartition region at large radii, a region with a flat magnetic field near ∼100rs and a region with a magnetic dynamo near ∼4rs. This, combined with hydrodynamical simulations that suggest the accreting gas has sufficient specific angular momentum so that the assumption of spherical accretion breaks down near ∼100rs, has led to the conclusion that the spherical accretion model by itself is insufficient to model the accretion flow near Sgr A*.
الاكثر قراءة في الثقوب السوداء
اخر الاخبار
اخبار العتبة العباسية المقدسة