
تاريخ الفيزياء

علماء الفيزياء


الفيزياء الكلاسيكية

الميكانيك

الديناميكا الحرارية


الكهربائية والمغناطيسية

الكهربائية

المغناطيسية

الكهرومغناطيسية


علم البصريات

تاريخ علم البصريات

الضوء

مواضيع عامة في علم البصريات

الصوت


الفيزياء الحديثة


النظرية النسبية

النظرية النسبية الخاصة

النظرية النسبية العامة

مواضيع عامة في النظرية النسبية

ميكانيكا الكم

الفيزياء الذرية

الفيزياء الجزيئية


الفيزياء النووية

مواضيع عامة في الفيزياء النووية

النشاط الاشعاعي


فيزياء الحالة الصلبة

الموصلات

أشباه الموصلات

العوازل

مواضيع عامة في الفيزياء الصلبة

فيزياء الجوامد


الليزر

أنواع الليزر

بعض تطبيقات الليزر

مواضيع عامة في الليزر


علم الفلك

تاريخ وعلماء علم الفلك

الثقوب السوداء


المجموعة الشمسية

الشمس

كوكب عطارد

كوكب الزهرة

كوكب الأرض

كوكب المريخ

كوكب المشتري

كوكب زحل

كوكب أورانوس

كوكب نبتون

كوكب بلوتو

القمر

كواكب ومواضيع اخرى

مواضيع عامة في علم الفلك

النجوم

البلازما

الألكترونيات

خواص المادة


الطاقة البديلة

الطاقة الشمسية

مواضيع عامة في الطاقة البديلة

المد والجزر

فيزياء الجسيمات


الفيزياء والعلوم الأخرى

الفيزياء الكيميائية

الفيزياء الرياضية

الفيزياء الحيوية

الفيزياء والفلسفة

الفيزياء العامة


مواضيع عامة في الفيزياء

تجارب فيزيائية

مصطلحات وتعاريف فيزيائية

وحدات القياس الفيزيائية

طرائف الفيزياء

مواضيع اخرى
Black Holes in a Box
المؤلف:
Leonard Susskind And James Lindesay
المصدر:
AN INTRODUCTION TO BLACK HOLES, INFORMATION, AND THE STRING THEORY REVOLUTION
الجزء والصفحة:
20-12-2015
3169
Black Holes in a Box
The apparently irreconcilable demands of black hole thermodynamics and the principles of quantum mechanics have led us to a very strange view of the world as a hologram. Now we will return, full circle, to see how the holographic description of AdS(5) ⊗ S(5) provides a description of black holes.
We have treated Schwarzschild black holes as if they were states of thermal equilibrium, but of course they are not. They are long-lived objects, but eventually they evaporate. We can try to prevent their evaporation by placing them in a thermal heat bath at their Hawking temperature but that does not work. The reason is that their specific heat is negative; their temperature decreases as their energy or mass increases. Any object with this property is thermodynamically unstable. To see this, suppose a fluctuation occurs in which the black hole absorbs an extra bit of energy from the surrounding heat bath. For an ordinary system with positive specific heat this will raise its temperature which in turn will cause it to radiate back into the environment. The fluctuations are self-regulating. But a system with negative specific heat will lower its temperature when it absorbs energy and will become cooler than the bath. This in turn will favor an additional flow of energy from the bath to the black hole and a runaway will occur. The black hole will grow indefinitely. If on the other hand the black hole gives up some energy to the environment it will become hotter than the bath. Again a runaway will occur that leads the black hole to disappear.
A well-known way to stabilize the black hole is to put it in a box so that the environmental heat bath is finite. When the black hole absorbs some energy it cools but so does the finite heat bath. If the box is not too big the heat bath will cool more than the black hole and the flow of heat will be back to the bath. In this lecture we will consider the properties of black holes which are stabilized by the natural box provided by Anti de Sitter space. More specifically we consider large black holes in AdS (5)⊗S (5) and their holographic description in terms of the N = 4 Yang–Mills theory.
The black holes which are stable have Schwarzschild radii as large or larger than the radius of curvature R. They homogeneously fill the 5-sphere and are solutions of the dimensionally reduced 5-dimensional Einstein equations with a negative cosmological constant. The thermodynamics can be derived from the black hole solutions by first computing the area of the horizon and then using the Bekenstein-Hawking formula.
Before writing the AdS-Schwarzschild metric, let us write the metric of AdS in a form which is convenient for generalization.
(1.1)
where in this formula r runs from 0 to the boundary at r = ∞. Note that the coordinates r, t.
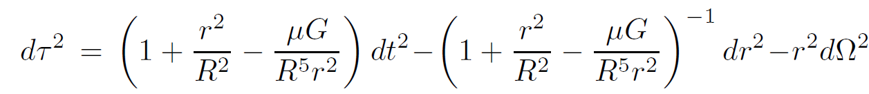
The AdS black hole is given by modifying the function (1 + r2/R2):
(1.2)
where the parameter μ is proportional to the mass of the black hole and G is the 10-dimensional Newton constant. The horizon of the black hole is at the largest root of

The Penrose diagram of the AdS black hole is shown in Figure 1.1. One finds that the entropy is related to the mass by
(1.3)
where c is a numerical constant. Using the thermodynamic relation dM = TdS we can compute the relation between mass and temperature:
(1.4)

Fig. 1.1. Penrose diagram of the AdS black hole.
or in terms of dimensionless SYM quantities
(1.5)
Equation 1.5 has a surprisingly simple interpretation. Recall that in 3 + 1 dimensions the Stephan–Boltzmann law for the energy density of radiation is
E ∼ T 4V (1.6)
where V is the volume. In the present case the relevant volume is the dimensionless 3-area of the unit boundary sphere. Furthermore there are ∼ N2 quantum fields in the U (N) gauge theory so that apart from a numerical constant equation 1.5 is nothing but the Stephan–Boltzmann law for black body radiation. Evidently the holographic description of the AdS black holes is as simple as it could be; a black body thermal gas of N2 species of quanta propagating on the boundary hologram.
The constant c in equation 1.3 can be computed in two ways. The first is from the black hole solution and the Bekenstein–Hawking formula. The second way is to calculate it from the boundary quantum field theory in the free field approximation. The calculations agree in order of magnitude, but the free field gives too big a coefficient by a factor of 4/3. This is not too surprising because the classical gravity approximation is only valid when g2YM N is large.
الاكثر قراءة في الثقوب السوداء
اخر الاخبار
اخبار العتبة العباسية المقدسة
الآخبار الصحية


قسم الشؤون الفكرية يصدر كتاباً يوثق تاريخ السدانة في العتبة العباسية المقدسة
"المهمة".. إصدار قصصي يوثّق القصص الفائزة في مسابقة فتوى الدفاع المقدسة للقصة القصيرة
(نوافذ).. إصدار أدبي يوثق القصص الفائزة في مسابقة الإمام العسكري (عليه السلام)