
تاريخ الفيزياء

علماء الفيزياء


الفيزياء الكلاسيكية

الميكانيك

الديناميكا الحرارية


الكهربائية والمغناطيسية

الكهربائية

المغناطيسية

الكهرومغناطيسية


علم البصريات

تاريخ علم البصريات

الضوء

مواضيع عامة في علم البصريات

الصوت


الفيزياء الحديثة


النظرية النسبية

النظرية النسبية الخاصة

النظرية النسبية العامة

مواضيع عامة في النظرية النسبية

ميكانيكا الكم

الفيزياء الذرية

الفيزياء الجزيئية


الفيزياء النووية

مواضيع عامة في الفيزياء النووية

النشاط الاشعاعي


فيزياء الحالة الصلبة

الموصلات

أشباه الموصلات

العوازل

مواضيع عامة في الفيزياء الصلبة

فيزياء الجوامد


الليزر

أنواع الليزر

بعض تطبيقات الليزر

مواضيع عامة في الليزر


علم الفلك

تاريخ وعلماء علم الفلك

الثقوب السوداء


المجموعة الشمسية

الشمس

كوكب عطارد

كوكب الزهرة

كوكب الأرض

كوكب المريخ

كوكب المشتري

كوكب زحل

كوكب أورانوس

كوكب نبتون

كوكب بلوتو

القمر

كواكب ومواضيع اخرى

مواضيع عامة في علم الفلك

النجوم

البلازما

الألكترونيات

خواص المادة


الطاقة البديلة

الطاقة الشمسية

مواضيع عامة في الطاقة البديلة

المد والجزر

فيزياء الجسيمات


الفيزياء والعلوم الأخرى

الفيزياء الكيميائية

الفيزياء الرياضية

الفيزياء الحيوية

الفيزياء والفلسفة

الفيزياء العامة


مواضيع عامة في الفيزياء

تجارب فيزيائية

مصطلحات وتعاريف فيزيائية

وحدات القياس الفيزيائية

طرائف الفيزياء

مواضيع اخرى
Calculation of the spectrum due to spherical accretion
المؤلف:
Heino Falcke and Friedrich W Hehl
المصدر:
THE GALACTIC BLACK HOLE Lectures on General Relativity and Astrophysics
الجزء والصفحة:
p 290
8-2-2017
2337
Calculation of the spectrum due to spherical accretion
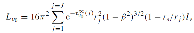
Once the radial profiles (optical depth, density, velocity, and temperature) are determined, it is possible to calculate the emission spectrum for a given magnetic field profile. The predicted observable luminosity Lν0 at infinity (Shapiro 1973, Melia 1992) with relativistic corrections is
(1.1)
where
(1.2)

Figure 1.1. The full curve is an example spectrum profile from (1.1) with parameters but with δB = 0.001. Also shown are the observed values and upper limits with the recent Chandra results (Baganoff et al 2001a, b) highlighted in bold. At a distance of 8.5 kpc, for Galactic Center sources Fν
1023L.
The sum over j is truncated at J, for which rJ ≡ RA. It is assumed thatτ∞ν0 (J ) = 0. This ignores the possible absorption by Sgr A West of the low frequency (ν0 < 109 Hz) radiation (Beckert et al 1996). Sgr A West is an H II region surrounding Sgr A*.
An example of a spectrum arising from these equations is shown in figure 1.1. Although only a representative solution, the primary features of all spherical accretion models are apparent. First, there is little emission in the infrared, unlike disk accretion scenarios where the gas circularizes and thermalizes before accreting. Second, there is significant X-ray emission due to thermal bremsstrahlung. However, in the case of Sgr A*, the observed quiescent X-ray spectrum is too soft to be due to thermal bremsstrahlung alone; the sub-mm emission, coming from very close to the black hole, is likely to be upscattered via inverse Compton and produce additional X-ray emission. Third, the spectral index in the radio is ∼1, rather steeper than the observed value of ∼0.3 (Falcke et al 1998). This last characteristic deserves some attention.
If the gas temperature and density profiles are at all similar to the Bondi-Hoyle results given earlier, and, if the radio emission is due to magnetic bremsstrahlung from a thermal distribution of particles, it is impossible to match both the observed 1 GHz radio flux and the soft X-ray upper limits (Liu and Melia 2001). Since the emission must be blackbody limited, one can put a lower limit on the temperature at a given radius. Similarly, the gas temperature must be less than the virial temperature, putting an upper limit on the temperature. For frequencies less than hν/kBT , the thermal bremsstrahlung emissivity, j bν , scales as n2T −1/2 ∝ r−5/2. Thus, the volume-integrated emissivity will increase with the size of the emission region as r 1/2 so that the minimum luminosity corresponds to the minimum size and maximum temperature consistent with the blackbody and virial limits. Limits which result in the proper observed 1 GHz flux yield a minimum radius and maximum temperature of approximately 2000 rs and 109 K, respectively. Since the soft X-ray emission is not likely to be self-absorbed while the GHz emission may be, the ratio of the volume integrated emissivities must be less than the ratio of the observed fluxes. For an equipartition type magnetic field profile, the result is that the soft X-ray luminosity cannot be less than ∼10−5 times the 1 GHz luminosity. Thus, since the observed ratio is ∼10−7 (Falcke et al 1998, Baganoff et al 2001a, b), the X-ray emission cannot be due to thermal magnetic bremsstrahlung. Profiles which deviate substantially from the Bondi–Hoyle results can avoid this problem. If one assumes an inflow velocity that is larger than free-fall, for example, one can reproduce the radio and X-ray emission, even when including self-Compton (Coker and Markoff 2001). However, the most likely cause of deviation from Bondi–Hoyle is a non-spherical accretion flow so that one has effectively a radially dependent mass accretion rate. A non-thermal particle distribution due to shocks in the flow could also alter the spectrum enough to invalidate these arguments.
الاكثر قراءة في الثقوب السوداء
اخر الاخبار
اخبار العتبة العباسية المقدسة
الآخبار الصحية

قسم الشؤون الفكرية يصدر كتاباً يوثق تاريخ السدانة في العتبة العباسية المقدسة
"المهمة".. إصدار قصصي يوثّق القصص الفائزة في مسابقة فتوى الدفاع المقدسة للقصة القصيرة
(نوافذ).. إصدار أدبي يوثق القصص الفائزة في مسابقة الإمام العسكري (عليه السلام)