
تاريخ الفيزياء

علماء الفيزياء


الفيزياء الكلاسيكية

الميكانيك

الديناميكا الحرارية


الكهربائية والمغناطيسية

الكهربائية

المغناطيسية

الكهرومغناطيسية


علم البصريات

تاريخ علم البصريات

الضوء

مواضيع عامة في علم البصريات

الصوت


الفيزياء الحديثة


النظرية النسبية

النظرية النسبية الخاصة

النظرية النسبية العامة

مواضيع عامة في النظرية النسبية

ميكانيكا الكم

الفيزياء الذرية

الفيزياء الجزيئية


الفيزياء النووية

مواضيع عامة في الفيزياء النووية

النشاط الاشعاعي


فيزياء الحالة الصلبة

الموصلات

أشباه الموصلات

العوازل

مواضيع عامة في الفيزياء الصلبة

فيزياء الجوامد


الليزر

أنواع الليزر

بعض تطبيقات الليزر

مواضيع عامة في الليزر


علم الفلك

تاريخ وعلماء علم الفلك

الثقوب السوداء


المجموعة الشمسية

الشمس

كوكب عطارد

كوكب الزهرة

كوكب الأرض

كوكب المريخ

كوكب المشتري

كوكب زحل

كوكب أورانوس

كوكب نبتون

كوكب بلوتو

القمر

كواكب ومواضيع اخرى

مواضيع عامة في علم الفلك

النجوم

البلازما

الألكترونيات

خواص المادة


الطاقة البديلة

الطاقة الشمسية

مواضيع عامة في الطاقة البديلة

المد والجزر

فيزياء الجسيمات


الفيزياء والعلوم الأخرى

الفيزياء الكيميائية

الفيزياء الرياضية

الفيزياء الحيوية

الفيزياء والفلسفة

الفيزياء العامة


مواضيع عامة في الفيزياء

تجارب فيزيائية

مصطلحات وتعاريف فيزيائية

وحدات القياس الفيزيائية

طرائف الفيزياء

مواضيع اخرى
Symmetries and integrals of motion
المؤلف:
Heino Falcke and Friedrich W Hehl
المصدر:
THE GALACTIC BLACK HOLE Lectures on General Relativity and Astrophysics
الجزء والصفحة:
p 127
2-2-2017
2112
Symmetries and integrals of motion
1.1 Killing vectors
A Killing vector field ξμ is a vector field which satisfies the Killing equation
ξ(μ;ν) = 0. (1.1)
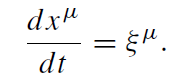
A Killing vector is a generator of a symmetry transformation on a spacetime manifold. Killing trajectories are integral lines of the Killing vector field,
(1.2)
If ξμ is regular, Killing trajectories form a foliation and one can introduce (at least locally) coordinates (t, yi ) where t is a parameter along the trajectory, and the yi are constant on a given trajectory. It is easy to show that the metric gμν in these coordinates does not depend on t. This demonstrates explicitly the symmetry of the spacetime carrying a Killing vector.
1.2 Integrals of motion
For a geodesic motion the quantity ξμ uμ is constant along the particle world line and hence it is an integral of motion. This follows from
(1.3)
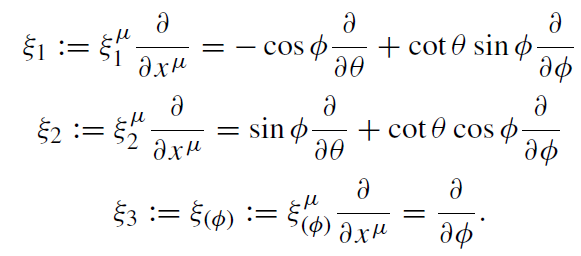
1.3 Symmetries of Schwarzschild spacetime
Being static and spherically symmetric, the Schwarzschild metric has four linearly independent Killing vector fields. One of them, in Schwarzschild coordinates,
(1.4)
is connected with the time symmetry. The other three are generators of the three parameter group of rotations preserving the geometry on a unit sphere:
(1.5)
The latter vector generates rotation around a z-axis passing through the north θ = 0 and south θ = π poles of the black hole.
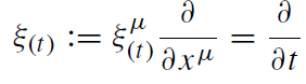
The Killing vector ξ(t ) possesses the following properties:
● ξ(t ) is orthogonal to the surface t = constant. This property follows from the invariance of the metric with respect to time reflection t → -t. (The metric is not only stationary but also static.)
● The infinite redshift surface where ξ2(t) = gt t = 0 coincides with a Killing horizon, which in its turn coincides with the event horizon, see later.
الاكثر قراءة في الثقوب السوداء
اخر الاخبار
اخبار العتبة العباسية المقدسة
الآخبار الصحية

قسم الشؤون الفكرية يصدر كتاباً يوثق تاريخ السدانة في العتبة العباسية المقدسة
"المهمة".. إصدار قصصي يوثّق القصص الفائزة في مسابقة فتوى الدفاع المقدسة للقصة القصيرة
(نوافذ).. إصدار أدبي يوثق القصص الفائزة في مسابقة الإمام العسكري (عليه السلام)