

الجغرافية الطبيعية


الجغرافية الحيوية

جغرافية النبات

جغرافية الحيوان

الجغرافية الفلكية

الجغرافية المناخية

جغرافية المياه

جغرافية البحار والمحيطات

جغرافية التربة


جغرافية التضاريس

الجيولوجيا

الجيومورفولوجيا


الجغرافية البشرية


الجغرافية الاجتماعية

جغرافية السكان


جغرافية العمران

جغرافية المدن

جغرافية الريف

جغرافية الجريمة

جغرافية الخدمات


الجغرافية الاقتصادية

الجغرافية الزراعية

الجغرافية الصناعية

الجغرافية السياحية

جغرافية النقل

جغرافية التجارة

جغرافية الطاقة

جغرافية التعدين

الجغرافية التاريخية

الجغرافية الحضارية

الجغرافية السياسية و الانتخابات

الجغرافية العسكرية

الجغرافية الثقافية

الجغرافية الطبية

جغرافية التنمية

جغرافية التخطيط

جغرافية الفكر الجغرافي

جغرافية المخاطر

جغرافية الاسماء

جغرافية السلالات

الجغرافية الاقليمية

جغرافية الخرائط


الاتجاهات الحديثة في الجغرافية

نظام الاستشعار عن بعد

نظام المعلومات الجغرافية (GIS)

نظام تحديد المواقع العالمي(GPS)

الجغرافية التطبيقية

جغرافية البيئة والتلوث

جغرافية العالم الاسلامي

الاطالس

معلومات جغرافية عامة

مناهج البحث الجغرافي
تقدير كمية الأمطار الساقطة لأي منطقة
المؤلف:
د. سعدية عاكول الصالحي، د. عبد العباس فضيخ الغريري
المصدر:
البيئة والمياه
الجزء والصفحة:
ص 47 ـ 49
2025-12-18
769
المختصين في مجال علم المياه يحتاجون إلى طرق حساب كمية الأمطار التي تسقط على أي مكان ، وذلك بتحويلها من بيانات نقطية إلى بيانات مسلحيه لتمثل الكميات التي تهطل على المنطقة بأكملها وليس على المحطة نفسها، وتتبع عدة طرق لإنجاز هذه العملية وهي كما يلي :-
1 - المتوسطات الحسابية ( Arithmetic mean )
وهي أسهل الطرق وتستخدم في المناطق السهلية القليلة التضرس وضمن المناطق التي تتميز بكثافة عالية للمحطات المطرية وتتلخص الطريقة بجمع كميات الأمطار أو يجمع معدلات الأمطار لجميع المحطات وقسمة الناتج على عدد المحطات.
2- طريقة المضلعات ( Thiessen polygons )
تعتمد هذه الطريقة على بيانات المحطات المجاورة عند استخلاص المتوسطات الموزونة.
وتتلخص هذه الطريقة بإيصال المحطات داخل الحوض أو التي تقع في أطرافه بخطوط مستقيمة ثم تنصف تلك المستقيمات ثم نقيم في المنتصف أعمله تلتقي بالأعمدة المنصفة للخطوط التي تصل بين انحطات المجاورة.
وبهذه الطريقة قسمنا الحوض إلى شكل مضلعات يقع بمنتصف كل ضلع محطة رصد للأمطار ثم نقوم بحساب نسبة مساحة كل مضلع من مسلحة الحوض الكلي، ثم نضرب معدل التساقط في كل محطة بنسبة المساحة ، ثم نجمع حاصل الضرب الذي يمثل متوسط كمية الأمطار على الحوض.
أو نقوم بجمع كمية التساقط للمحطات كلها ثم نضربه بمساحة الحوض كلـه وتجمع حاصل الضرب بينهما ثم نقسم حاصل الجمع على مجموع التساقط في كل انحطات ، ويكون الناتج هو مقدار متوسط الأمطار الموزونة.
3 - طريقة خطوط المطر المتساوي ( Isohyetal method )
تحتاج هذه الطريقة الأشخاص لهم خبرة متميزة برسم خطوط تساوي المطر وتعتبر هذه الطريقة أفضل من الطرق السابقة ، إلا أن عيبها الوحيد هو ضرورة إعادة رسم خطوط تساوي المطر كلما تغيرت الفترة الزمنية لأن يرافقها تغير في القيم المطري مما يؤدي إلى تغير نمط الخطوط المتساوية وتتغير معها المسلحات المحصورة بين تلك الخطوط.
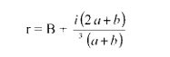
وتتلخص هذه الطريقة بحساب المسلحة المحصورة بين كل خطين مطريين متجاورين ثم يحسب متوسط الأمطار لتلك المساحة المحصورة بقسمة حاصل جمع قيمة الخطين على اثنين ثم تضرب هذه المساحة بمتوسط الأمطار ، ثم يجمع حاصل الضرب ويقسم على مساحة الحوض بأكمله، فيكون الناتج مقدار متوسط الأمطار الموزونة لذلك الحوض وبواسطة خطوط المطر المتساوية وبتطبيق المعادلة الآتية يمكن الحصول على متوسط الأمطار الموزونة للحوض.

حيث A - طول خط المطر المتساوي ( أعلى قيمة).
B - طول خط المطر المتساوي ( أقل قيمة).
I - الفاصل بين أعلى قيمة وأقل قيمة.

الاكثر قراءة في الجغرافية المناخية
اخر الاخبار
اخبار العتبة العباسية المقدسة
الآخبار الصحية

قسم الشؤون الفكرية يصدر كتاباً يوثق تاريخ السدانة في العتبة العباسية المقدسة
"المهمة".. إصدار قصصي يوثّق القصص الفائزة في مسابقة فتوى الدفاع المقدسة للقصة القصيرة
(نوافذ).. إصدار أدبي يوثق القصص الفائزة في مسابقة الإمام العسكري (عليه السلام)