Thomas-Fermi Differential Equation
المؤلف:
Bender, C. M. and Orszag, S. A
المصدر:
Advanced Mathematical Methods for Scientists and Engineers. New York: McGraw-Hill
الجزء والصفحة:
...
5-7-2018
1565
Thomas-Fermi Differential Equation
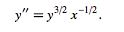
The second-order ordinary differential equation

REFERENCES:
Bender, C. M. and Orszag, S. A. Advanced Mathematical Methods for Scientists and Engineers. New York: McGraw-Hill, p. 25, 1978.
Zwillinger, D. Handbook of Differential Equations, 3rd ed. Boston, MA: Academic Press, p. 127, 1997.
الاكثر قراءة في معادلات تفاضلية
اخر الاخبار
اخبار العتبة العباسية المقدسة