تاريخ الرياضيات
الاعداد و نظريتها
تاريخ التحليل
تار يخ الجبر
الهندسة و التبلوجي
الرياضيات في الحضارات المختلفة
العربية
اليونانية
البابلية
الصينية
المايا
المصرية
الهندية
الرياضيات المتقطعة
المنطق
اسس الرياضيات
فلسفة الرياضيات
مواضيع عامة في المنطق
الجبر
الجبر الخطي
الجبر المجرد
الجبر البولياني
مواضيع عامة في الجبر
الضبابية
نظرية المجموعات
نظرية الزمر
نظرية الحلقات والحقول
نظرية الاعداد
نظرية الفئات
حساب المتجهات
المتتاليات-المتسلسلات
المصفوفات و نظريتها
المثلثات
الهندسة
الهندسة المستوية
الهندسة غير المستوية
مواضيع عامة في الهندسة
التفاضل و التكامل
المعادلات التفاضلية و التكاملية
معادلات تفاضلية
معادلات تكاملية
مواضيع عامة في المعادلات
التحليل
التحليل العددي
التحليل العقدي
التحليل الدالي
مواضيع عامة في التحليل
التحليل الحقيقي
التبلوجيا
نظرية الالعاب
الاحتمالات و الاحصاء
نظرية التحكم
بحوث العمليات
نظرية الكم
الشفرات
الرياضيات التطبيقية
نظريات ومبرهنات
علماء الرياضيات
500AD
500-1499
1000to1499
1500to1599
1600to1649
1650to1699
1700to1749
1750to1779
1780to1799
1800to1819
1820to1829
1830to1839
1840to1849
1850to1859
1860to1864
1865to1869
1870to1874
1875to1879
1880to1884
1885to1889
1890to1894
1895to1899
1900to1904
1905to1909
1910to1914
1915to1919
1920to1924
1925to1929
1930to1939
1940to the present
علماء الرياضيات
الرياضيات في العلوم الاخرى
بحوث و اطاريح جامعية
هل تعلم
طرائق التدريس
الرياضيات العامة
نظرية البيان
Jacobi Differential Equation
المؤلف:
Bliss, G. A
المصدر:
alculus of Variations. Chicago, IL: Open Cour
الجزء والصفحة:
...
13-6-2018
1815
Jacobi Differential Equation
![]() |
(1) |
or
![]() |
(2) |
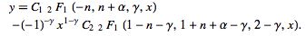
The solutions are Jacobi polynomials or, in terms of hypergeometric functions, as
![]() |
(3) |
The equation (2) can be transformed to
![]() |
(4) |
where
![]() |
(5) |
and
![]() |
(6) |
where
![]() |
(7) |
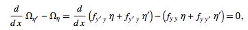
Zwillinger (1997, p. 123) gives a related differential equation he terms Jacobi's equation
![]() |
(8) |
(Iyanaga and Kawada 1980, p. 1480), which has solution
![]() |
(9) |
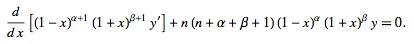
Zwillinger (1997, p. 120; duplicated twice) also gives another types of ordinary differential equation called a Jacobi equation,
![]() |
(10) |
(Ince 1956, p. 22).
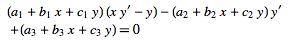
In the calculus of variations, the partial differential equation
![]() |
(11) |
where
![]() |
(12) |
is called the Jacobi differential equation.
REFERENCES:
Bliss, G. A. Calculus of Variations. Chicago, IL: Open Court, pp. 162-163, 1925.
Ince, E. L. Ordinary Differential Equations. New York: Dover, p. 22, 1956.
Iyanaga, S. and Kawada, Y. (Eds.). Encyclopedic Dictionary of Mathematics. Cambridge, MA: MIT Press, p. 1480, 1980.
Zwillinger, D. Handbook of Differential Equations, 3rd ed. Boston, MA: Academic Press, p. 120, 1997.
الاكثر قراءة في معادلات تفاضلية
اخر الاخبار
اخبار العتبة العباسية المقدسة

الآخبار الصحية
