

تاريخ الرياضيات

الاعداد و نظريتها

تاريخ التحليل

تار يخ الجبر

الهندسة و التبلوجي


الرياضيات في الحضارات المختلفة

العربية

اليونانية

البابلية

الصينية

المايا

المصرية

الهندية


الرياضيات المتقطعة

المنطق

اسس الرياضيات

فلسفة الرياضيات

مواضيع عامة في المنطق


الجبر

الجبر الخطي

الجبر المجرد

الجبر البولياني

مواضيع عامة في الجبر

الضبابية

نظرية المجموعات

نظرية الزمر

نظرية الحلقات والحقول

نظرية الاعداد

نظرية الفئات

حساب المتجهات

المتتاليات-المتسلسلات

المصفوفات و نظريتها

المثلثات


الهندسة

الهندسة المستوية

الهندسة غير المستوية

مواضيع عامة في الهندسة

التفاضل و التكامل


المعادلات التفاضلية و التكاملية

معادلات تفاضلية

معادلات تكاملية

مواضيع عامة في المعادلات


التحليل

التحليل العددي

التحليل العقدي

التحليل الدالي

مواضيع عامة في التحليل

التحليل الحقيقي

التبلوجيا

نظرية الالعاب

الاحتمالات و الاحصاء

نظرية التحكم

بحوث العمليات

نظرية الكم

الشفرات

الرياضيات التطبيقية

نظريات ومبرهنات


علماء الرياضيات

500AD

500-1499

1000to1499

1500to1599

1600to1649

1650to1699

1700to1749

1750to1779

1780to1799

1800to1819

1820to1829

1830to1839

1840to1849

1850to1859

1860to1864

1865to1869

1870to1874

1875to1879

1880to1884

1885to1889

1890to1894

1895to1899

1900to1904

1905to1909

1910to1914

1915to1919

1920to1924

1925to1929

1930to1939

1940to the present

علماء الرياضيات

الرياضيات في العلوم الاخرى

بحوث و اطاريح جامعية

هل تعلم

طرائق التدريس

الرياضيات العامة

نظرية البيان
Introduction to Homological-Exact Sequences
المؤلف:
David R. Wilkins
المصدر:
Algebraic Topology
الجزء والصفحة:
102-104
6-7-2017
2047
In homological algebra we consider sequences
· · · −→F p→ G q→ H ···→
where F, G, H etc. are modules over some unital ring R and p, q etc. are R-module homomorphisms. We denote the trivial module {0} by 0, and we denote by 0→G and G→0 the zero homomorphisms from 0 to G and from G to 0 respectively. (These zero homomorphisms are of course the only homomorphisms mapping out of and into the trivial module 0.)
Unless otherwise stated, all modules are considered to be left modules.
Definition Let R be a unital ring, let F, G and H be R-modules, and let p: F → G and q: G → H be R-module homomorphisms. The sequence F p→G q→H of modules and homomorphisms is said to be exact at G if and only if image(p: F → G) = ker(q: G → H). A sequence of modules and homomorphisms is said to be exact if it is exact at each module occurring in the sequence (so that the image of each homomorphism is the kernel of the succeeding homomorphism).
A monomorphism is an injective homomorphism. An epimorphism is a surjective homomorphism. An isomorphism is a bijective homomorphism.
The following result follows directly from the relevant definitions.
Lemma 1.1 let R be a unital ring, and let h: G → H be a homomorphism of R-modules. Then
• h: G → H is a monomorphism if and only if 0→G h→H is an exact sequence;
• h: G → H is an epimorphism if and only if G h →H→0 is an exact sequence;
• h: G → H is an isomorphism if and only if 0→G h→H →0 is an exact sequence.
Let R be a unital ring, and let F be a submodule of an R-module G.
Then the sequence
0→F i→G q→G/F→0,
is exact, where G/F is the quotient module, i: F ,→ G is the inclusion homomorphism, and q: G → G/F is the quotient homomorphism. Conversely, given any exact sequence of the form
0 →F i →G q→H→0,
we can regard F as a submodule of G (on identifying F with i(F)), and then H is isomorphic to the quotient module G/F. Exact sequences of this type are referred to as short exact sequences.
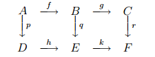
We now introduce the concept of a commutative diagram. This is a diagram depicting a collection of homomorphisms between various modules occurring on the diagram. The diagram is said to commute if, whenever there are two routes through the diagram from a module G to a module H, the homomorphism from G to H obtained by forming the composition of the homomorphisms along one route in the diagram agrees with that obtained by composing the homomorphisms along the other route. Thus, for example, the diagram

commutes if and only if q ◦ f = h ◦ p and r ◦ g = k ◦ q.
Proposition 1.2 Let R be a unital ring. Suppose that the following diagram of R-modules and R-module homomorphisms

commutes and that both rows are exact sequences. Then the following results follow:
(i) if ψ2 and ψ4 are monomorphisms and if ψ1 is a epimorphism then ψ3 is an monomorphism,
(ii) if ψ2 and ψ4 are epimorphisms and if ψ5 is a monomorphism then ψ3 is an epimorphism.
Proof First we prove (i). Suppose that ψ2 and ψ4 are monomorphisms and that ψ1 is an epimorphism. We wish to show that ψ3 is a monomorphism.
Let x ∈ G3 be such that ψ3(x) = 0. Then ψ4 (θ3(x)) = φ3 (ψ3(x)) = 0, and hence θ3(x) = 0. But then x = θ2(y) for some y ∈ G2, by exactness.
Moreover
φ2 (ψ2(y)) = ψ3 (θ2(y)) = ψ(x) = 0,
hence ψ2(y) = φ1(z) for some z ∈ H1, by exactness. But z = ψ1(w) for some w ∈ G1, since ψ1 is an epimorphism. Then
ψ2 (θ1(w)) = φ1 (ψ1(w)) = ψ2(y),
and hence θ1(w) = y, since ψ2 is a monomorphism. But then
x = θ2(y) = θ2 (θ1(w)) = 0
by exactness. Thus ψ3 is a monomorphism.
Next we prove (ii). Thus suppose that ψ2 and ψ4 are epimorphisms and that ψ5 is a monomorphism. We wish to show that ψ3 is an epimorphism.
Let a be an element of H3. Then φ3(a) = ψ4(b) for some b ∈ G4, since ψ4 is an epimorphism. Now
ψ5 (θ4(b)) = φ4 (ψ4(b)) = φ4 (φ3(a)) = 0,
hence θ4(b) = 0, since ψ5 is a monomorphism. Hence there exists c ∈ G3 such that θ3(c) = b, by exactness. Then
φ3 (ψ3(c)) = ψ4 (θ3(c)) = ψ4(b),
hence φ3 (a − ψ3(c)) = 0, and thus a − ψ3(c) = φ2(d) for some d ∈ H2, by exactness. But ψ2 is an epimorphism, hence there exists e ∈ G2 such that ψ2(e) = d. But then
ψ3 (θ2(e)) = φ2 (ψ2(e)) = a − ψ3(c).
Hence a = ψ3 (c + θ2(e)), and thus a is in the image of ψ3. This shows that ψ3 is an epimorphism, as required.
The following result is an immediate corollary of Proposition 1.2.
Lemma 1.3 (Five-Lemma) Suppose that the rows of the commutative diagram of Proposition 1.2 are exact sequences and that ψ1, ψ2, ψ4 and ψ5 are isomorphisms. Then ψ3 is also an isomorphism.
الاكثر قراءة في التبلوجيا
اخر الاخبار
اخبار العتبة العباسية المقدسة
الآخبار الصحية

قسم الشؤون الفكرية يصدر كتاباً يوثق تاريخ السدانة في العتبة العباسية المقدسة
"المهمة".. إصدار قصصي يوثّق القصص الفائزة في مسابقة فتوى الدفاع المقدسة للقصة القصيرة
(نوافذ).. إصدار أدبي يوثق القصص الفائزة في مسابقة الإمام العسكري (عليه السلام)