

تاريخ الرياضيات

الاعداد و نظريتها

تاريخ التحليل

تار يخ الجبر

الهندسة و التبلوجي


الرياضيات في الحضارات المختلفة

العربية

اليونانية

البابلية

الصينية

المايا

المصرية

الهندية


الرياضيات المتقطعة

المنطق

اسس الرياضيات

فلسفة الرياضيات

مواضيع عامة في المنطق


الجبر

الجبر الخطي

الجبر المجرد

الجبر البولياني

مواضيع عامة في الجبر

الضبابية

نظرية المجموعات

نظرية الزمر

نظرية الحلقات والحقول

نظرية الاعداد

نظرية الفئات

حساب المتجهات

المتتاليات-المتسلسلات

المصفوفات و نظريتها

المثلثات


الهندسة

الهندسة المستوية

الهندسة غير المستوية

مواضيع عامة في الهندسة

التفاضل و التكامل


المعادلات التفاضلية و التكاملية

معادلات تفاضلية

معادلات تكاملية

مواضيع عامة في المعادلات


التحليل

التحليل العددي

التحليل العقدي

التحليل الدالي

مواضيع عامة في التحليل

التحليل الحقيقي

التبلوجيا

نظرية الالعاب

الاحتمالات و الاحصاء

نظرية التحكم

بحوث العمليات

نظرية الكم

الشفرات

الرياضيات التطبيقية

نظريات ومبرهنات


علماء الرياضيات

500AD

500-1499

1000to1499

1500to1599

1600to1649

1650to1699

1700to1749

1750to1779

1780to1799

1800to1819

1820to1829

1830to1839

1840to1849

1850to1859

1860to1864

1865to1869

1870to1874

1875to1879

1880to1884

1885to1889

1890to1894

1895to1899

1900to1904

1905to1909

1910to1914

1915to1919

1920to1924

1925to1929

1930to1939

1940to the present

علماء الرياضيات

الرياضيات في العلوم الاخرى

بحوث و اطاريح جامعية

هل تعلم

طرائق التدريس

الرياضيات العامة

نظرية البيان
THE PONTRYAGIN MAXIMUM PRINCIPLE-CALCULUS OF VARIATIONS, HAMILTONIAN DYNAMICS
المؤلف:
Lawrence C. Evans
المصدر:
An Introduction to Mathematical Optimal Control Theory
الجزء والصفحة:
41-45
8-10-2016
2039
We begin in this section with a quick introduction to some variational methods.
These ideas will later serve as motivation for the Pontryagin Maximum Principle.
Assume we are given a smooth function L : Rn × Rn → R, L = L(x, v); L is called the Lagrangian. Let T > 0, x0, x1 ∈ Rn be given.
BASIC PROBLEM OF THE CALCULUS OF VARIATIONS. Find a curve x∗(.) : [0, T] → Rn that minimizes the functional
(1.1)
among all functions x(.) satisfying x(0) = x0 and x(T) = x1.
Now assume x∗(.) solves our variational problem. The fundamental question is this: how can we characterize x∗(.)?
1.1 DERIVATION OF EULER–LAGRANGE EQUATIONS.
NOTATION.We write L = L(x, v), and regard the variable x as denoting position, the variable v as denoting velocity. The partial derivatives of L are

THEOREM 1.1 (EULER–LAGRANGE EQUATIONS). Let x∗(.) solve the calculus of variations problem. Then x∗(.) solves the Euler–Lagrange differential equations:

The significance of preceding theorem is that if we can solve the Euler–Lagrange equations (E-L), then the solution of our original calculus of variations problem (assuming it exists) will be among the solutions.
Note that (E-L) is a quasilinear system of n second–order ODE. The ith component of the system reads

Proof. 1. Select any smooth curve y[0, T] → Rn, satisfying y(0) = y(T) = 0.
Define
i(τ ) := I[x(.) + τy(.)]
for τ ∈ R and x(.) = x∗(.). (To simplify we omit the superscript ∗.) Notice that x(.) + τy(.) takes on the proper values at the endpoints. Hence, since x(.) is
minimizer, we have
i(τ ) ≥ I[x(.)] = i(0).
Consequently i(.) has a minimum at τ = 0, and so i′(0) = 0.
2. We must compute i′ (τ ). Note first that

This equality holds for all choices of y : [0, T] → Rn, with y(0) = y(T) = 0.
3. Fix any 1 ≤ j ≤ n. Choose y(.) so that

where ψ is an arbitary function. Use this choice of y(.) above:

Integrate by parts, recalling that ψ(0) = ψ(T) = 0:

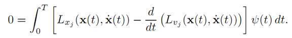
This holds for all ψ : [0, T] → R, ψ(0) = ψ(T) = 0 and therefore

for all times 0 ≤ t ≤ T. To see this, observe that otherwise Lxj – d/dt (Lvj ) would be, say, positive on some subinterval on I ⊆ [0, T]. Choose ψ ≡ 0 off I, ψ > 0 on I.
Then

a contradiction.
1.2 CONVERSION TO HAMILTON’S EQUATIONS.
DEFINITION. For the given curve x(.), define
p(t) := ∇vL(x(t), x˙ (t)) (0 ≤ t ≤ T).
We call p(.) the generalized momentum.
Our intention now is to rewrite the Euler–Lagrange equations as a system of first–order ODE for x(.), p(.).
IMPORTANT HYPOTHESIS: Assume that for all x, p ∈ Rn, we can solve the equation
(1.2) p = ∇vL(x, v)
for v in terms of x and p. That is, we suppose we can solve the identity (1.2) for
v = v(x, p).
DEFINITION. Define the dynamical systems Hamiltonian H : Rn × Rn → R by the formula
H(x, p) = p . v(x, p) − L(x, v(x, p)),
where v is defined above.
NOTATION. The partial derivatives of H are

and we write
∇xH := (Hx1 , . . . ,Hxn), ∇pH := (Hp1 , . . . ,Hpn).
THEOREM 1.2 (HAMILTONIAN DYNAMICS). Let x(.) solve the EulerLagrange equations (E-L) and define p(.)as above. Then the pair (x(.), p(.)) solves Hamilton’s equations:

Furthermore, the mapping t → H(x(t), p(t)) is constant.
Proof. Recall that H(x, p) = p . v(x, p) − L(x, v(x, p)), where v = v(x, p) or, equivalently, p = ∇vL(x, v). Then

because p = ∇vL. Now p(t) = ∇vL(x(t), x˙ (t)) if and only if x˙ (t) = v(x(t), p(t)).
Therefore (E-L) implies

A PHYSICAL EXAMPLE. We define the Lagrangian

which we interpret as the kinetic energy minus the potential energy V . Then
∇xL = −∇V (x), ∇vL = mv.
Therefore the Euler-Lagrange equation is

which is Newton’s law. Furthermore
p = ∇vL(x, v) = mv
is the momentum, and the Hamiltonian is

the sum of the kinetic and potential energies. For this example, Hamilton’s equations read

References
[B-CD] M. Bardi and I. Capuzzo-Dolcetta, Optimal Control and Viscosity Solutions of Hamilton-Jacobi-Bellman Equations, Birkhauser, 1997.
[B-J] N. Barron and R. Jensen, The Pontryagin maximum principle from dynamic programming and viscosity solutions to first-order partial differential equations, Transactions AMS 298 (1986), 635–641.
[C1] F. Clarke, Optimization and Nonsmooth Analysis, Wiley-Interscience, 1983.
[C2] F. Clarke, Methods of Dynamic and Nonsmooth Optimization, CBMS-NSF Regional Conference Series in Applied Mathematics, SIAM, 1989.
[Cr] B. D. Craven, Control and Optimization, Chapman & Hall, 1995.
[E] L. C. Evans, An Introduction to Stochastic Differential Equations, lecture notes avail-able at http://math.berkeley.edu/˜ evans/SDE.course.pdf.
[F-R] W. Fleming and R. Rishel, Deterministic and Stochastic Optimal Control, Springer, 1975.
[F-S] W. Fleming and M. Soner, Controlled Markov Processes and Viscosity Solutions, Springer, 1993.
[H] L. Hocking, Optimal Control: An Introduction to the Theory with Applications, OxfordUniversity Press, 1991.
[I] R. Isaacs, Differential Games: A mathematical theory with applications to warfare and pursuit, control and optimization, Wiley, 1965 (reprinted by Dover in 1999).
[K] G. Knowles, An Introduction to Applied Optimal Control, Academic Press, 1981.
[Kr] N. V. Krylov, Controlled Diffusion Processes, Springer, 1980.
[L-M] E. B. Lee and L. Markus, Foundations of Optimal Control Theory, Wiley, 1967.
[L] J. Lewin, Differential Games: Theory and methods for solving game problems with singular surfaces, Springer, 1994.
[M-S] J. Macki and A. Strauss, Introduction to Optimal Control Theory, Springer, 1982.
[O] B. K. Oksendal, Stochastic Differential Equations: An Introduction with Applications, 4th ed., Springer, 1995.
[O-W] G. Oster and E. O. Wilson, Caste and Ecology in Social Insects, Princeton UniversityPress.
[P-B-G-M] L. S. Pontryagin, V. G. Boltyanski, R. S. Gamkrelidze and E. F. Mishchenko, The Mathematical Theory of Optimal Processes, Interscience, 1962.
[T] William J. Terrell, Some fundamental control theory I: Controllability, observability, and duality, American Math Monthly 106 (1999), 705–719.
الاكثر قراءة في نظرية التحكم
اخر الاخبار
اخبار العتبة العباسية المقدسة
الآخبار الصحية

قسم الشؤون الفكرية يصدر كتاباً يوثق تاريخ السدانة في العتبة العباسية المقدسة
"المهمة".. إصدار قصصي يوثّق القصص الفائزة في مسابقة فتوى الدفاع المقدسة للقصة القصيرة
(نوافذ).. إصدار أدبي يوثق القصص الفائزة في مسابقة الإمام العسكري (عليه السلام)