

علم الكيمياء

تاريخ الكيمياء والعلماء المشاهير

التحاضير والتجارب الكيميائية

المخاطر والوقاية في الكيمياء

اخرى

مقالات متنوعة في علم الكيمياء

كيمياء عامة


الكيمياء التحليلية

مواضيع عامة في الكيمياء التحليلية

التحليل النوعي والكمي

التحليل الآلي (الطيفي)

طرق الفصل والتنقية


الكيمياء الحياتية

مواضيع عامة في الكيمياء الحياتية

الكاربوهيدرات

الاحماض الامينية والبروتينات

الانزيمات

الدهون

الاحماض النووية

الفيتامينات والمرافقات الانزيمية

الهرمونات


الكيمياء العضوية

مواضيع عامة في الكيمياء العضوية

الهايدروكاربونات

المركبات الوسطية وميكانيكيات التفاعلات العضوية

التشخيص العضوي

تجارب وتفاعلات في الكيمياء العضوية


الكيمياء الفيزيائية

مواضيع عامة في الكيمياء الفيزيائية

الكيمياء الحرارية

حركية التفاعلات الكيميائية

الكيمياء الكهربائية


الكيمياء اللاعضوية

مواضيع عامة في الكيمياء اللاعضوية

الجدول الدوري وخواص العناصر

نظريات التآصر الكيميائي

كيمياء العناصر الانتقالية ومركباتها المعقدة


مواضيع اخرى في الكيمياء

كيمياء النانو

الكيمياء السريرية

الكيمياء الطبية والدوائية

كيمياء الاغذية والنواتج الطبيعية

الكيمياء الجنائية


الكيمياء الصناعية

البترو كيمياويات

الكيمياء الخضراء

كيمياء البيئة

كيمياء البوليمرات

مواضيع عامة في الكيمياء الصناعية

الكيمياء التناسقية

الكيمياء الاشعاعية والنووية
pKa is a useful guide to leaving group ability
المؤلف:
Jonathan Clayden , Nick Greeves , Stuart Warren
المصدر:
ORGANIC CHEMISTRY
الجزء والصفحة:
ص202
2025-05-10
944
It’s useful to be able to compare leaving group ability quantitatively. This is impossible to do exactly, but a good guide is the pKa of the conjugate acid (Chapter 8). If X− is the leaving group, the lower the pKa of HX, the better X− is as a leaving group. If we go back to the example of ester formation from acyl chloride plus alcohol, there’s a choice of Me−, EtO−, and Cl−. HCl is a stronger acid than EtOH, which is a much stronger acid than methane. So Cl− is the best leaving group and EtO− the next best. These observations apply only to reactions at the car bonyl group.
●Leaving group ability, The lower the pKa of HX, the better the leaving group of X− in carbonyl substitution reactions.
The most important substituents in carbonyl reactions are alkyl or aryl groups (R), amino groups in amides (NH2), alkoxy groups in esters (RO−), carboxylate groups (RCO2 −) in anhydrides, and chloride (Cl−) in acyl chlorides. The order of leaving group ability is then:

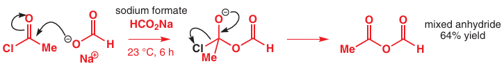
We can use pKa to predict what happens if we react an acyl chloride with a carboxylate salt. We expect the carboxylate salt (here, sodium formate or sodium methanoate, HCO2Na) to act as the nucleophile to form a tetrahedral intermediate, which could collapse in any one of three ways. We can straightaway rule out loss of Me− and we might guess that Cl− is a better leaving group than HCO2 − as HCl is a much stronger acid than a carboxylic acid, and we’d be right. Sodium formate reacts with acetyl chloride to give a mixed anhydride.

الاكثر قراءة في مواضيع عامة في الكيمياء العضوية
اخر الاخبار
اخبار العتبة العباسية المقدسة
الآخبار الصحية

قسم الشؤون الفكرية يصدر كتاباً يوثق تاريخ السدانة في العتبة العباسية المقدسة
"المهمة".. إصدار قصصي يوثّق القصص الفائزة في مسابقة فتوى الدفاع المقدسة للقصة القصيرة
(نوافذ).. إصدار أدبي يوثق القصص الفائزة في مسابقة الإمام العسكري (عليه السلام)