0
EN
1
المرجع الالكتروني للمعلوماتية

علم الكيمياء

تاريخ الكيمياء والعلماء المشاهير

التحاضير والتجارب الكيميائية

المخاطر والوقاية في الكيمياء

اخرى

مقالات متنوعة في علم الكيمياء

كيمياء عامة

الكيمياء التحليلية

مواضيع عامة في الكيمياء التحليلية

التحليل النوعي والكمي

التحليل الآلي (الطيفي)

طرق الفصل والتنقية

الكيمياء الحياتية

مواضيع عامة في الكيمياء الحياتية

الكاربوهيدرات

الاحماض الامينية والبروتينات

الانزيمات

الدهون

الاحماض النووية

الفيتامينات والمرافقات الانزيمية

الهرمونات

الكيمياء العضوية

مواضيع عامة في الكيمياء العضوية

الهايدروكاربونات

المركبات الوسطية وميكانيكيات التفاعلات العضوية

التشخيص العضوي

تجارب وتفاعلات في الكيمياء العضوية

الكيمياء الفيزيائية

مواضيع عامة في الكيمياء الفيزيائية

الكيمياء الحرارية

حركية التفاعلات الكيميائية

الكيمياء الكهربائية

الكيمياء اللاعضوية

مواضيع عامة في الكيمياء اللاعضوية

الجدول الدوري وخواص العناصر

نظريات التآصر الكيميائي

كيمياء العناصر الانتقالية ومركباتها المعقدة

مواضيع اخرى في الكيمياء

كيمياء النانو

الكيمياء السريرية

الكيمياء الطبية والدوائية

كيمياء الاغذية والنواتج الطبيعية

الكيمياء الجنائية

الكيمياء الصناعية

البترو كيمياويات

الكيمياء الخضراء

كيمياء البيئة

كيمياء البوليمرات

مواضيع عامة في الكيمياء الصناعية

الكيمياء التناسقية

الكيمياء الاشعاعية والنووية

قم بتسجيل الدخول اولاً لكي يتسنى لك الاعجاب والتعليق.

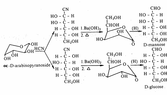
تحضير كيلياني وفيشر Kiliani-Fischer synthesis

المؤلف:  د. محمد بن إبراهيم الحسن – د. حسن بن محمد الحازمي

المصدر:  أسس الكيمياء العضوية

الجزء والصفحة:  ص397-398

2025-01-20

1550

+

-

20

زيادة عدد ذرات الكربون في أحادية التسكر: يتفاعل الألدوز مع حمض الهيدروسيانيك ليكون السيانوهيدرين وبذلك يتحقق في الخطوة الأولى زيادة عدد ذرات الكربون في الألدوز الأصلي بذرة واحدة. بعد ذلك يتم تحليل السيانوهيدرين مائياً بواسطة هيدروكسيد الباريوم. ثم يعامل ملح الباريوم الناتج بحمض الكبريتيك المخفف ينتج عن ذلك الحمض الكربوكسيلي الذي بدوره يتحول إلى لأكتون الحمض عن طريق التسخين. ثم اختزال هذا اللاكتون بواسطة مملغم الصوديوم والكحول أو بواسطة بوروهيدريد الصوديوم المائي ليتحول إلى الألدوز والذي تزيد فيه عدد ذرات الكربون بذرة واحدة عن الألدوز الذي بدىء به التفاعل.

بهذه الطريقة يتم تحويل الألدوبنتوزات إلى الدوهكزوزات، وكذلك يتم تحويل الألدوهكزوزات إلى ألدو، هبتوزات وهكذا. وكمثال على ذلك يتم تحويل (D) أرابينوز إلى مخلوط من (D) جلوكوز، و(D) مانوز.

                                             

 

 

لا توجد تعليقات بعد

ما رأيك بالمقال : كن أول من يعلق على هذا المحتوى

اخر الاخبار

اشترك بقناتنا على التلجرام ليصلك كل ما هو جديد