طرق تحضير الحموض الكربوكسيلية
المؤلف:
د. محمد بن إبراهيم الحسن – د. حسن بن محمد الحازمي
المصدر:
أسس الكيمياء العضوية
الجزء والصفحة:
ص307-310
2025-01-16
1152
تعتبر الدهون النباتية والحيوانية أهم المصادر للحصول على الحموض الكربوكسيلية الأليفاتية إذ تتحلل الدهون في الأوساط القلوية لتعطي حموضاً كربوكسيلية بدرجة كبيرة من النقاوة. ويمكن الحصول على حمض الخل، الذي يعتبر مثالاً نموذجياً للحموض الأليفاتية أحادية المجموعة الكربوكسيلية من أكسدة الأسيتالدهيد، الذي ينشأ من إضافة الماء إلى الأسيتيلين.

هذا وقد سبق لنا استعراض بعض الطرق لتحضير الحموض الكربوكسيلية مثل أكسدة الأوليفينات أو أكسدة الألدهيدات والكحولات الأولية ومن أفضل الطرق المتبعة لتحضير الحموض الأروماتية هي أكسدة الكيلات البنزين وعدا ذلك فإن أهم الطرق المخبرية الشائعة لتحضير الحموض الكربوكسيلية الأليفاتية والأروماتية هي الطرق التالية :
( أ ) تفاعل كاشف جرينارد مع ثاني أكسيد الكربون يتفاعل كاشف جرينارد مع CO2 ويتكون أيون الكربوكسيليت، ومن ثم الحمض الكربوكسيلي الحر عند معاملة هذا الأيون بحمض معدني وذلك وفقاً للمعادلة العامة التالية:

وتعتبر هذه الطريقة عامة لتحضير الحموض الكربوكسيلية شريطة أن يكون الهاليد، الذي يحضر منه كاشف، جرينارد، لا يحوي مجموعة فعالة أخرى تتفاعل مع كاشف جرينارد هذا وقد يخطر بالبال أن ملح الحمض المتكون في التفاعل السابق قد يتفاعل في خطوة أخرى مع الكاشف نظراً لاحتوائه على مجموعة الكربونيل على النحو التالي:

ولكن وجد عملياً أن الخطوة السابقة لا تحدث حتى لو حدث التفاعل في درجة حرارة الغرفة. وفضلا عن ذلك فإن المتبع في المختبر لتحضير الحموض الكربوكسيلية وفقاً لهذه الطريقة هو إضافة كاشف جرينيارد إلى CO2 الصلب (dry ice) أي عند درجات حرارة منخفضة.
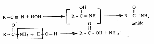
(ب) من النتريلات تتحلل النتريلات مائياً في الأوساط القلوية، إلى الحموض الكربوكسيلية المطابقة كما يتضح من المعادلة التالية:


ويستخدم هذا التفاعل على نطاق واسع لتحضير «ألفا - هيدروكسي الحموض» وذلك من التحلل المائي لمركبات سيانوهيدرين التي
تنشأ بدورها من معاملة الكيتونات أو الألدهيدات بسيانيد الهيدروجين وكذلك من معاملة هاليدات الألكيل بسيانيد الصوديوم أو البوتاسيوم

وتتحلل النتريلات على خطوتين

كما أن التحلل المائي المعتدل يؤدي إلى تكون الأميد المطابق، فمثلاً إضافة فوق أكسيد الهيدروجين إلى التحلل النتريلي هذا يفي بالغرض

هذا وتتحلل النتريلات مائياً في وسط حمضي، مثل حمض الهيدروكلوريك أو حمض الكبريتيك، إذ يتكون في هذه الحالة الملح الأمونيومي للحمض غير العضوي المستخدم بالإضافة إلى الحمض الكربوكسيلي.

الاكثر قراءة في مواضيع عامة في الكيمياء العضوية
اخر الاخبار
اخبار العتبة العباسية المقدسة