

Grammar


Tenses


Present

Present Simple

Present Continuous

Present Perfect

Present Perfect Continuous


Past

Past Simple

Past Continuous

Past Perfect

Past Perfect Continuous


Future

Future Simple

Future Continuous

Future Perfect

Future Perfect Continuous


Parts Of Speech


Nouns

Countable and uncountable nouns

Verbal nouns

Singular and Plural nouns

Proper nouns

Nouns gender

Nouns definition

Concrete nouns

Abstract nouns

Common nouns

Collective nouns

Definition Of Nouns

Animate and Inanimate nouns

Nouns


Verbs

Stative and dynamic verbs

Finite and nonfinite verbs

To be verbs

Transitive and intransitive verbs

Auxiliary verbs

Modal verbs

Regular and irregular verbs

Action verbs

Verbs


Adverbs

Relative adverbs

Interrogative adverbs

Adverbs of time

Adverbs of place

Adverbs of reason

Adverbs of quantity

Adverbs of manner

Adverbs of frequency

Adverbs of affirmation

Adverbs


Adjectives

Quantitative adjective

Proper adjective

Possessive adjective

Numeral adjective

Interrogative adjective

Distributive adjective

Descriptive adjective

Demonstrative adjective


Pronouns

Subject pronoun

Relative pronoun

Reflexive pronoun

Reciprocal pronoun

Possessive pronoun

Personal pronoun

Interrogative pronoun

Indefinite pronoun

Emphatic pronoun

Distributive pronoun

Demonstrative pronoun

Pronouns


Pre Position


Preposition by function

Time preposition

Reason preposition

Possession preposition

Place preposition

Phrases preposition

Origin preposition

Measure preposition

Direction preposition

Contrast preposition

Agent preposition


Preposition by construction

Simple preposition

Phrase preposition

Double preposition

Compound preposition

prepositions


Conjunctions

Subordinating conjunction

Correlative conjunction

Coordinating conjunction

Conjunctive adverbs

conjunctions


Interjections

Express calling interjection

Phrases

Sentences

Clauses

Part of Speech


Grammar Rules

Passive and Active

Preference

Requests and offers

wishes

Be used to

Some and any

Could have done

Describing people

Giving advices

Possession

Comparative and superlative

Giving Reason

Making Suggestions

Apologizing

Forming questions

Since and for

Directions

Obligation

Adverbials

invitation

Articles

Imaginary condition

Zero conditional

First conditional

Second conditional

Third conditional

Reported speech

Demonstratives

Determiners

Direct and Indirect speech


Linguistics

Phonetics

Phonology

Linguistics fields

Syntax

Morphology

Semantics

pragmatics

History

Writing

Grammar

Phonetics and Phonology

Semiotics


Reading Comprehension

Elementary

Intermediate

Advanced


Teaching Methods

Teaching Strategies

Assessment
Some components defined
المؤلف:
EDWARD H. BENDIX
المصدر:
Semantics AN INTERDISCIPLINARY READER IN PHILOSOPHY, LINGUISTICS AND PSYCHOLOGY
الجزء والصفحة:
396-23
2024-08-14
1608
Some components defined
In Bendix (1966: 61-79) a subset of verbs was isolated from the semantic system of English and analyzed. These were A gets B, A finds B, C gives AB, C gets AB, C lends AB, A borrows B from C, A takes B from C, A gets rid of B, A loses B, and A keeps B. Definitions using semantic components were attempted which were sufficient to distinguish the verbs from one another within the subset. Because of their tentative nature, the definitions will not be repeated here. Rather, components will be described, and some definitions will be given in illustrating, eliciting and testing techniques.
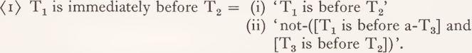
In formulating components, certain primitives are used. Thus at in at time T points to an undivided (but not necessarily indivisible) time, and time or T and before are also primitives, used in defining immediately before:

Immediately before is required in defining a component of change of state or activity:

Other types of components, each followed by a rough reading in the object language, are: A an-F ‘A does or is something ’; B is an-Rh A ‘ there is a “ have ’’-state relation between B and A’ or simply ‘A has B’; B is A's ‘ B belongs to A’. In such components, is vs. does represent state vs. activity.
Another primitive is P causes Q, as in the definition C gives B to A — ‘(C an-F) causes (B is an-Rh A)’. This label is used when tests indicate the presence of the component that ‘C’ (‘A’, etc.) does or is something and, further, that this action or state of ‘ C ’ leads to, results in, or may otherwise be said by a speaker to be connected with another action or state in a way that he calls causal.
Ultimately we would want to define such terms of the metalanguage as cause, referent, or the existential quantifier there is a. . . more exactly within a general linguistic theory as well as, perhaps, in any particular theory specific to a given language. This is not to be misconstrued as an attempt to define causation or existence nor as a commitment to the prescriptions of any particular philosophical school of thought about the nature or definition of what can or cannot be a referent or to the full implications of the quantifier as used in logic. Rather, the interest is in describing how speakers use language and in making clear, for example, what we claim a speaker is asserting when he uses a form whose meaning we define as containing the component ‘ cause ’.
الاكثر قراءة في Semantics
اخر الاخبار
اخبار العتبة العباسية المقدسة
الآخبار الصحية

قسم الشؤون الفكرية يصدر كتاباً يوثق تاريخ السدانة في العتبة العباسية المقدسة
"المهمة".. إصدار قصصي يوثّق القصص الفائزة في مسابقة فتوى الدفاع المقدسة للقصة القصيرة
(نوافذ).. إصدار أدبي يوثق القصص الفائزة في مسابقة الإمام العسكري (عليه السلام)