
تاريخ الفيزياء

علماء الفيزياء


الفيزياء الكلاسيكية

الميكانيك

الديناميكا الحرارية


الكهربائية والمغناطيسية

الكهربائية

المغناطيسية

الكهرومغناطيسية


علم البصريات

تاريخ علم البصريات

الضوء

مواضيع عامة في علم البصريات

الصوت


الفيزياء الحديثة


النظرية النسبية

النظرية النسبية الخاصة

النظرية النسبية العامة

مواضيع عامة في النظرية النسبية

ميكانيكا الكم

الفيزياء الذرية

الفيزياء الجزيئية


الفيزياء النووية

مواضيع عامة في الفيزياء النووية

النشاط الاشعاعي


فيزياء الحالة الصلبة

الموصلات

أشباه الموصلات

العوازل

مواضيع عامة في الفيزياء الصلبة

فيزياء الجوامد


الليزر

أنواع الليزر

بعض تطبيقات الليزر

مواضيع عامة في الليزر


علم الفلك

تاريخ وعلماء علم الفلك

الثقوب السوداء


المجموعة الشمسية

الشمس

كوكب عطارد

كوكب الزهرة

كوكب الأرض

كوكب المريخ

كوكب المشتري

كوكب زحل

كوكب أورانوس

كوكب نبتون

كوكب بلوتو

القمر

كواكب ومواضيع اخرى

مواضيع عامة في علم الفلك

النجوم

البلازما

الألكترونيات

خواص المادة


الطاقة البديلة

الطاقة الشمسية

مواضيع عامة في الطاقة البديلة

المد والجزر

فيزياء الجسيمات


الفيزياء والعلوم الأخرى

الفيزياء الكيميائية

الفيزياء الرياضية

الفيزياء الحيوية

الفيزياء والفلسفة

الفيزياء العامة


مواضيع عامة في الفيزياء

تجارب فيزيائية

مصطلحات وتعاريف فيزيائية

وحدات القياس الفيزيائية

طرائف الفيزياء

مواضيع اخرى
أبو الفتح الخازني (الخازن)
المؤلف:
د. زهير ابو زينة
المصدر:
موسوعة علماء الفيزياء
الجزء والصفحة:
12-10-2015
9698
أبو الفتح الخازني (الخازن)
(... – 555هـ)
أبو الفتح عبدالرحمن الخازن، او الخازني، حكيم فلكي مهندس.
نشأ عبد الرحمن في كنف سيده علي الخازن المروزي، درس في مدينة مرو من مدن خراسان على اكابر علماء عصره آنذاك حتى نبغ في علم الفلك والرياضيات والفيزياء على الرغم من انه لم يكن حرا. وقد اثار عبدالرحمن إعجاب ودهشة الكثير من الناس عندما ظهر لهم كتابه (ميزان الحكمة) الذي كان بدعة في علم الحيل والفيزياء والهيدروستاتيكا. وكان عبدالرحمن مهتما الى جانب اطلاعه على هذه العلوم بعلم الفلك، ويبدو هذا الاهتمام واضحا من تحديده للقبلة في معظم انحاء البلاد الاسلامية. وكان اعتمد في تحديده هذا على ابن الهيثم والبيروني.
اجمع الكثيرون من مؤرخي تاريخ العلوم على ان الخازني أستاذ الفيزياء في جميع العصور، واتفقوا انه فاق اساتذته ابن سينا والبيروني وابن الهيثم في هذا الحقل، وخصوصا في موضوعي الحركية (الديناميكا) وعلم السوائل الساكنة (الهيدروستاتيكا). فقد ابدع الخازني في هذين العلمين ابداعا أدهش من جاء بعده من العلماء الباحثين. ولا تزال نظرياته تدرس في علمي الحركية والسوائل في المعاهد الى عصرنا هذا، ومن هذه النظريات نظرية الميل والانحدار ونظرية الاندفاع.
اشتغل الخازني في الفلك فادهش والف جداول فلكية اسماها " الزيج السنجاري" سجل فيه ارصادا دقيقة جدا، وخصص معظم وقته لدراسة موضوع السوائل الساكنة، فاخترع الة لمعرفة الوزن النوعي للسوائل، وناقش ضمن دراسته موضوع المقاومة التي يعانيها الجسم من اسفل الى أعلى عندما يغمر في الماء (أو أي سائل). وقد استخدم في تعين الثقل النوعي لبعض المواد الصلبة والسائلة الجهاز نفسه الذي استعمله استاذه البيروني، ووصل منه الى درجة كبيرة من الدقة.
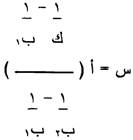
كما ابتكر الخازني معادلة تحدد الوزن المطلق لجسم مكون من مادتين، وهي :
حيث ان "أ" تعبر عن الوزن المطلق للجسم المركب و "ك" النقل النوعي للجسم المركب ، و "ب" كثافة المادة الأولى و "ب" كثافة المادة الثانية، و "س" الوزن المطلق. ومن هذه المعادلة يمكن بيسر ايجاد الوزن المطلق والثقل لجسم مكون من مادتين مركبتين بسيطتين.
لقد سبق الخازني العالم "تورشيللي" في الاشارة الى مادة الهواء ووزنه، واشار الى ان للهواء وزنا وقوة رافعة كالسوائل، وان وزن الجسم المغمور في الهواء ينقص عن وزنه الحقيقي، وان مقدار ما ينقصه من الوزن يتوقف على كثافة الهواء، وبين ان قاعدة ارخميدس لا تسري على السوائل فقط بل انها تسري على الغازات أيضا، وكانت هذه الابحاث العلمية هي التي مهدت لاختراع البارومتر، ومفرغات الهواء، والمضخات. وفي كتابه المعنون "الآلات العجيبة" تعرض الخازني لعلم الات الرصد، وعرف فيه علم الهيئة. وله أيضا أبحاث دونها في قواعد النور، وقام بحساب انكسار النور بمروره في الكرة الهوائية.
ولعبد الرحمن الخازني جهد كبير واسهام عظيم في تطوير نظيرات الجاذبية والوزن النوعي – فقد شرح في تجارب اجراها بنفسه كيف ان جميع اجزاء الجسم تتجه الى مركز الارض عند سقوطها وذلك بسبب قوة الجاذبية، ورأى الخازني أيضا ان سبب اختلاف قوة الجاذبية راجع الى سقوط المسافة بين الجسم الساقط والمركز. وقد بنى دراساته على تجاربه وعلى القياسات العلمية.
مؤلفات الخازني :
كتاب ميزان الحكمة، وهو في ثمانية مجلدات، وقد سماها كتبا :
- الكتاب الاول : في السوائل الساكنة.
- الكتاب الثاني : في الاوزان المختلفة.
- الكتاب الثالث : في نظريات الجاذبية.
- الكتاب الرابع : في نظريات ارخميدس ومنلوس في السوائل الساكنة.
- الكتاب الخامس : في امثلة ومسائل وجداول عن اوزان المواد المختلفة.
- الكتاب السادس : في الوزن النوعي للأجسام المختلفة.
- الكتاب السابع : امثلة عامة على ميزان الحكمة في مواضيع شتى.
- الكتاب الثامن : في علم الفلك.
وقد أظهر فيه الخازني ان قاعدة ارخميدس تنطبق على الاجسام الموجودة في الهواء، وتعرض لمقاومة السوائل للحركة، وتعرض أيضا للعلاقة بين السرعة التي يسقط بها الجسم والمسافة والزمن الذي يستغرقه، وهذه العلاقة تنص عليها القوانين والمعادلات التي ادعاها بعض علماء الغرب لأنفسهم امثال جاليليو وكبلر ونيوتن وغيرهم.
- كتاب التفهيم.
- كتاب في الآلات المخروطية.
- كتاب في الفجر والشفق.
- كتاب جامع التواريخ.
- رسالة في الآلات.
- كتاب الزيج السنجاري.
الاكثر قراءة في علماء الفيزياء
اخر الاخبار
اخبار العتبة العباسية المقدسة
الآخبار الصحية

قسم الشؤون الفكرية يصدر كتاباً يوثق تاريخ السدانة في العتبة العباسية المقدسة
"المهمة".. إصدار قصصي يوثّق القصص الفائزة في مسابقة فتوى الدفاع المقدسة للقصة القصيرة
(نوافذ).. إصدار أدبي يوثق القصص الفائزة في مسابقة الإمام العسكري (عليه السلام)