معجل البروتونات
المؤلف:
د/ محمد شحادة الدغمة و أ.د/ علي محمد جمعة
المصدر:
الفيزياء النووية
الجزء والصفحة:
ج2 ص 557
11-1-2022
1935
معجل البروتونات
يتركب هذا المعجل من إناء مفرغ كبير يحتوي على طول محوره على عدد معين من الأنابيب المعدنية الأسطوانية والتي تعرف بأنابيب التدفق Drift Tubes وذلك كما بالشكل (1). توصل هذه الأنابيب بمصدر جهد مذبذب راديوي (Oscillator - Radio - Frequence) بحيث تتصل الأنابيب الفردية بأحد قطبي المذبذب بينما تتصل الأنابيب الزوجية بالقطب الآخر. تخرج الإيونات الموجبة من مصدر الإيونات (كما بالشكل) نحو الأنبوبة (1) فإذا افترضنا أنه عندما تغادر هذه الإيونات الأنبوبة (1) فإن جهد الأنبوبة (2) يكون سالباً، ومن ثم سوف تتسارع هذه الإيونات عندما تجتاز الفجوة بين هاتين الأنبوبتين وعندما تكون الأيونات داخل الأنبوبة (2) فإنها لن تعاني أي تسارع (وذلك لانعدام المجال داخل الموصل) وتستمر في الحركة بسرعة منتظمة. فإذا قطعت هذه الإيونات طول الأنبوبة في زمن معين يساوي الزمن اللازم للمذبذب لتغيير قطبيته بحيث تصبح الأنبوبة (3) سالبة الجهد فإن الإيونات عند مغادرتها الأنبوبة (2) سوف تتسارع نحو الأنبوبة (3) مكتسبة المزيد من الطاقة أثناء اجتيازها الفجوة بين الأنبوبتين (2)، (3).
لاحظ هنا أنه عندما تزداد طاقة الإيون فإن سرعته تزداد، وحيث أن تردد المذبذب ثابت فإنه لكي يظل زمن اجتياز كل أنبوبة ثابتاً أيضاً فإن علينا أن نزيد من أطوال هذه الأنابيب باستمرار (كما يتضح من الشكل) وبالتالي فإن الإيونات
الشكل (1)
ستجتاز الفجوات فيما بين الأنابيب في الزمن المحدد. ويمكن استنتاج علاقة قبين اعتماد طول الأنبوبة على الطاقة حيث نجد أن:
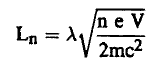
لنفترض أن سرعة الإيون في الأنبوبة رقم (n) تساوي (Vn) وان تردد المذبذبات (f) وزمنه الدوري (T) فإن الزمن اللازم لاجتياز الأنبوبة يساوي T/2 فإذا كان طول الأنبوبة هر (Ln) فإن:
(1)...............
ولكن :

ومن ثم فإن:
(2)............
حيث λ الطول الموجي، C سرعة الضوء.
ويكتسب الايون طاقة حركة (Kn) بعد اجتيازه الفجوة تعطي بالعلاقة
(3).............Kn = n e V
حيث V الجهد المؤثر على الأنابيب ويساوي تقريباً جهد الذروة للمذبذب.
وحيث أن طاقة الحركة الكلاسيكية تعطي بالعلاقة :

فإن:
(4)..........
وبحل معادلتي (2 و 4) نجد أن:
(5)..........
حيث m كتلة الإيون.
لاحظ هنا أنه عند السرعات العالية فيجب تعديل معادلة (4) لتسمح بالتغير النسبي. وعلى كل حال عندما تقترب سرعة الإيون من سرعة الضوء فإن تأثير التسارع سيعمل على تعويض تزايد الكتلة ومن ثم تظل سرعة الجسيم ثابتة تقريباً. وهذا يعني أنه لا يمكن تسريع الجسيم لأكثر من هذه السرعة ومن ثم يظل طول الأنابيب بعد هذه السرعة ثابتاً.
يتم تسريع الإيونات إلى حوالي 1 .م . أ . ف. (باستخدام معجل تقليدي كالفاندي جراف) قبل دخولها إلى أنابيب التدفق وذلك لكي تكون أطوال الأنابيب الأولى في الجهاز ليت قصيرة جداً. لقد تمت زيادة طاقة هذه المعجلات بعد انتهاء الحرب العالمية الثانية وذلك بعد استخدام مذبذبات ذات تردد راديوي عالي جداً (تم الحصول عليها نتيجة لتطور أجهزة الرادار) ، لقد وصل تردد المذبذب إلى 200 ميجاهيرتز. وثم بناء معجلات خطية حديثة تعرف ب Proton Linac تستخدم مبدأ الفجوات الرنينية Cavity Resonators. وللحصول على هذا الرنين فإننا نحيط أنابيب التدفق بأسطوانة محورية ضخمة ذات جدران موصلة. ومن ثم تنشأ موجات كهرومغناطيسية موقوفة داخل هذا التجويف الرنيني وهذا يساعد على الحصول على كفاءة عالية لتوليد الجهود العالية بين الأنابيب المتتالية.
يبين الشكل (1 .ب) صورة للمعجل الخطي للبروتونات في بروكهافن.
يشكل تبئير الشعاع العقبة الرئيسية في المعجلات الخطية. فإذا اخترقت الإيونات الفجوة بين الأنبوبتين بينما كان المجال الكهربي يتزايد. كما يجب أن يكون الحال - فإن الجسيمات ستتخذ مساراً كما هو مبين بالشكل (2 .أ) وهنا يبدو الشعاع وكأنه قد تفجر قطرياً نحو الخارج. وهناك طريقتان لتبثير الشعاع:
أ. باستخدام شبكة من الأسلاك عند مدخل كل أنبوبة. وذلك كما بالشكل (2 .ب) وهنا تأخذ خطوط المجال الوضع المبين بالشكل. ومن ثم ستقوم هذه الخطوط برد الجسيمات نحو محور الأنبوبة. وهذه تقنية بسيطة ولكن عيبها يتضح في فقد كثير من الجسيمات نتيجة لتشتتها عند اصطدامها بالشبكة.
ب. وضع مغناطيس بثير رباعي الأقطاب داخل كل أنبوبة تدفق. وهذه تقنية مكلفة إلا أنها أفضل من سابقتها.
الشكل (2)
الاكثر قراءة في مواضيع عامة في الفيزياء النووية
اخر الاخبار
اخبار العتبة العباسية المقدسة