

علم الكيمياء

تاريخ الكيمياء والعلماء المشاهير

التحاضير والتجارب الكيميائية

المخاطر والوقاية في الكيمياء

اخرى

مقالات متنوعة في علم الكيمياء

كيمياء عامة


الكيمياء التحليلية

مواضيع عامة في الكيمياء التحليلية

التحليل النوعي والكمي

التحليل الآلي (الطيفي)

طرق الفصل والتنقية


الكيمياء الحياتية

مواضيع عامة في الكيمياء الحياتية

الكاربوهيدرات

الاحماض الامينية والبروتينات

الانزيمات

الدهون

الاحماض النووية

الفيتامينات والمرافقات الانزيمية

الهرمونات


الكيمياء العضوية

مواضيع عامة في الكيمياء العضوية

الهايدروكاربونات

المركبات الوسطية وميكانيكيات التفاعلات العضوية

التشخيص العضوي

تجارب وتفاعلات في الكيمياء العضوية


الكيمياء الفيزيائية

مواضيع عامة في الكيمياء الفيزيائية

الكيمياء الحرارية

حركية التفاعلات الكيميائية

الكيمياء الكهربائية


الكيمياء اللاعضوية

مواضيع عامة في الكيمياء اللاعضوية

الجدول الدوري وخواص العناصر

نظريات التآصر الكيميائي

كيمياء العناصر الانتقالية ومركباتها المعقدة


مواضيع اخرى في الكيمياء

كيمياء النانو

الكيمياء السريرية

الكيمياء الطبية والدوائية

كيمياء الاغذية والنواتج الطبيعية

الكيمياء الجنائية


الكيمياء الصناعية

البترو كيمياويات

الكيمياء الخضراء

كيمياء البيئة

كيمياء البوليمرات

مواضيع عامة في الكيمياء الصناعية

الكيمياء التناسقية

الكيمياء الاشعاعية والنووية
Organic Bases
المؤلف:
John McMurry
المصدر:
Organic Chemistry 6 Edt
الجزء والصفحة:
p 52
30-6-2018
2913
Organic Bases
Organic bases are characterized by the presence of an atom (reddish in electrostatic potential maps) with a lone pair of electrons that can bond to H+. Nitrogen-containing compounds such as methylamine are the most common organic bases and are involved in almost all metabolic pathways, but oxygen containing compounds can also act as bases when reacting with a sufficiently strong acid. Note that some oxygen-containing compounds can act both as acids and as bases depending on the circumstances, just as water can. Methanol and acetone, for instance, act as acids when they donate a proton but as bases when their oxygen atom accepts a proton

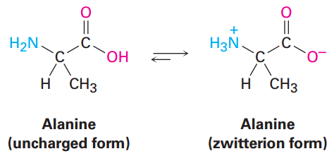
see that substances called amino acids,so-named because they are both amines (- NH2) and carboxylic acids (- CO2H), are the building blocks from which the proteins in all living organisms are made.
Twenty different amino acids go into making up proteins—alanine is an example. Interestingly, alanine and other amino acids exist primarily in a doubly charged form called a zwitterion rather than in the uncharged form. The zwitterion form arises because amino acids have both acidic and basic sites within the same molecule and therefore undergo an internal acid–base reaction.

الاكثر قراءة في مواضيع عامة في الكيمياء العضوية
اخر الاخبار
اخبار العتبة العباسية المقدسة
الآخبار الصحية

قسم الشؤون الفكرية يصدر كتاباً يوثق تاريخ السدانة في العتبة العباسية المقدسة
"المهمة".. إصدار قصصي يوثّق القصص الفائزة في مسابقة فتوى الدفاع المقدسة للقصة القصيرة
(نوافذ).. إصدار أدبي يوثق القصص الفائزة في مسابقة الإمام العسكري (عليه السلام)