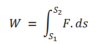
الشغل الذي تبذله قوة متغيرة Work done by a Variable Force
المؤلف:
محمد عطية سويلم، د. محمد روبين إدريس، بديع صالح الخطيب، د. أحمد يوسف قواسمة
المصدر:
الفيزياء العامة
الجزء والصفحة:
ص 109
1-9-2017
8660
الشغل الذي تبذله قوة متغيرة Work done by a Variable Force
اننا نعلم أن القوى المؤثرة في الأجسام تكون أحيانا متغيرة ، فعندما نضغط نابضاً ، أو ننفخ كرة قدم أو نمط قطعة مطاط تكون القوى في هذه الحالات جميعها متغيرة .
والسؤال الآن : كيف نجد الشغل الذي تبذله قوة متغيرة ؟

