

علم الكيمياء

تاريخ الكيمياء والعلماء المشاهير

التحاضير والتجارب الكيميائية

المخاطر والوقاية في الكيمياء

اخرى

مقالات متنوعة في علم الكيمياء

كيمياء عامة


الكيمياء التحليلية

مواضيع عامة في الكيمياء التحليلية

التحليل النوعي والكمي

التحليل الآلي (الطيفي)

طرق الفصل والتنقية


الكيمياء الحياتية

مواضيع عامة في الكيمياء الحياتية

الكاربوهيدرات

الاحماض الامينية والبروتينات

الانزيمات

الدهون

الاحماض النووية

الفيتامينات والمرافقات الانزيمية

الهرمونات


الكيمياء العضوية

مواضيع عامة في الكيمياء العضوية

الهايدروكاربونات

المركبات الوسطية وميكانيكيات التفاعلات العضوية

التشخيص العضوي

تجارب وتفاعلات في الكيمياء العضوية


الكيمياء الفيزيائية

مواضيع عامة في الكيمياء الفيزيائية

الكيمياء الحرارية

حركية التفاعلات الكيميائية

الكيمياء الكهربائية


الكيمياء اللاعضوية

مواضيع عامة في الكيمياء اللاعضوية

الجدول الدوري وخواص العناصر

نظريات التآصر الكيميائي

كيمياء العناصر الانتقالية ومركباتها المعقدة


مواضيع اخرى في الكيمياء

كيمياء النانو

الكيمياء السريرية

الكيمياء الطبية والدوائية

كيمياء الاغذية والنواتج الطبيعية

الكيمياء الجنائية


الكيمياء الصناعية

البترو كيمياويات

الكيمياء الخضراء

كيمياء البيئة

كيمياء البوليمرات

مواضيع عامة في الكيمياء الصناعية

الكيمياء التناسقية

الكيمياء الاشعاعية والنووية
Physical properties
المؤلف:
CATHERINE E. HOUSECROFT AND ALAN G. SHARPE
المصدر:
INORGANIC CHEMISTRY
الجزء والصفحة:
2th ed p 536
23-2-2017
2200
Physical properties
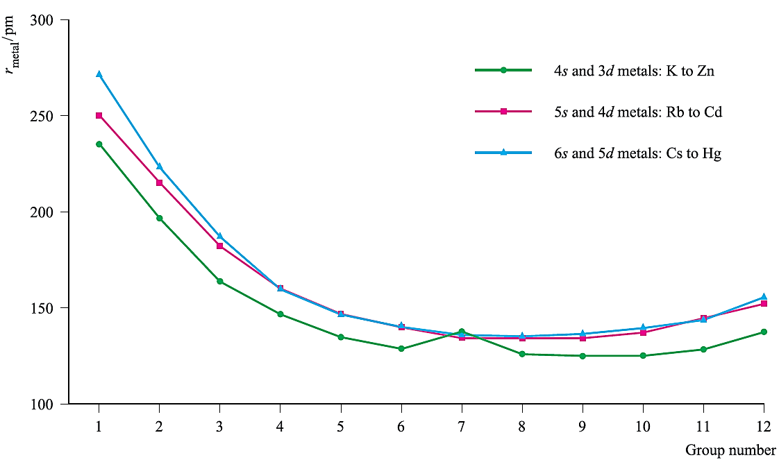
Nearly all the d-block metals are hard, ductile and malleable, with high electrical and thermal conductivities. With the exceptions of Mn, Zn, Cd and Hg, at room temperature, the metals possess one of the typical metal structures. The metallic radii (rmetal) for 12-coordination (Figure 1.1) are much smaller that those of the s-block metals of comparable atomic number; Figure 1.1 also illustrates that values of rmetal:
- show little variation across a given row of the d-block;
- are greater for second and third row metals than for first row metals:
- are similar for the second and third row metals in a given triad.
This last observation is due to the so-called lanthanoid contraction. Metals of the d-block are (with the exception of the group 12 metals) much harder and less volatile than those of the sblock.
Fig. 1.1 Trends in metallic radii (rmetal) across the three rows of s- and d-block metals K to Zn, Rb to Cd, and Cs to Hg.
The trends in enthalpies of atomization are shown in Figure 1.3. Metals in the second and third rows generally possess higher enthalpies of atomization than the corresponding elements in the first row; this is a substantial factor in accounting for the far greater occurrence of metal–metal bonding in compounds of the heavier d-block metals compared with their first row congeners. In general, Figure 1.3 shows that metals in the centre of the d-block possess higher values of ΔaHo(298 K) than early or late metals. However, one must be careful in comparing metals with different structure types and this is particularly true of manganese. The first ionization energies (IE1) of the d-block metals in a given period are higher than those of the preceding s-block metals. Figure 1.2 shows that across each of the periods K to Kr, Rb to Xe, and Cs to Rn, the variation in values of IE1 is small across the d-block and far greater among the s- and p-block elements.

Fig. 1.2 The values of the first ionization energies of the elements up to Rn.
Within each period, the overall trend for the d-block metals is for the ionization energies to increase, but many small variations occur. Chemical comparisons between metals from the sand d-blocks are complicated by the number of factors involved. Thus, all 3d metals have values of IE1 and IE2 larger than those of calcium, and all except zinc have higher values of ΔaHo (Figure 1.3); these factors make the metals less reactive than calcium. However, since all known M2+ ions of the 3d metals are smaller than Ca2+, lattice and solvation energy effects are more favourable for the 3d metal ions.

Fig. 1.3 Trends in standard enthalpies of atomization, ΔaHo(298 K), across the three rows of s- and d-block metals K to Zn, Rb to Cd, and Cs to Hg.
In practice, it turns out that, in the formation of species containing M2+ ions, all the 3d metals are thermodynamically less reactive than calcium, and this is consistent with the standard reduction potentials listed in Table 1.1. However, interpretation of observed chemistry based on these Eo data is not always straightforward, since the formation of a coherent surface film of metal oxide often renders a metal less reactive than expected (see Section 19.4). A few d-block metals are very powerful reducing agents, e.g. Eo for the Sc3+/Sc couple (_2.08 V) is more negative than that for Al3+/Al (_1.66 V).
Table 1.1 Standard reduction potentials (298 K) for some metals in the first long period; the concentration of each aqueous solution is 1 moldm-3.

الاكثر قراءة في مواضيع عامة في الكيمياء اللاعضوية
اخر الاخبار
اخبار العتبة العباسية المقدسة
الآخبار الصحية

قسم الشؤون الفكرية يصدر كتاباً يوثق تاريخ السدانة في العتبة العباسية المقدسة
"المهمة".. إصدار قصصي يوثّق القصص الفائزة في مسابقة فتوى الدفاع المقدسة للقصة القصيرة
(نوافذ).. إصدار أدبي يوثق القصص الفائزة في مسابقة الإمام العسكري (عليه السلام)