علم الكيمياء
تاريخ الكيمياء والعلماء المشاهير
التحاضير والتجارب الكيميائية
المخاطر والوقاية في الكيمياء
اخرى
مقالات متنوعة في علم الكيمياء
كيمياء عامة
الكيمياء التحليلية
مواضيع عامة في الكيمياء التحليلية
التحليل النوعي والكمي
التحليل الآلي (الطيفي)
طرق الفصل والتنقية
الكيمياء الحياتية
مواضيع عامة في الكيمياء الحياتية
الكاربوهيدرات
الاحماض الامينية والبروتينات
الانزيمات
الدهون
الاحماض النووية
الفيتامينات والمرافقات الانزيمية
الهرمونات
الكيمياء العضوية
مواضيع عامة في الكيمياء العضوية
الهايدروكاربونات
المركبات الوسطية وميكانيكيات التفاعلات العضوية
التشخيص العضوي
تجارب وتفاعلات في الكيمياء العضوية
الكيمياء الفيزيائية
مواضيع عامة في الكيمياء الفيزيائية
الكيمياء الحرارية
حركية التفاعلات الكيميائية
الكيمياء الكهربائية
الكيمياء اللاعضوية
مواضيع عامة في الكيمياء اللاعضوية
الجدول الدوري وخواص العناصر
نظريات التآصر الكيميائي
كيمياء العناصر الانتقالية ومركباتها المعقدة
مواضيع اخرى في الكيمياء
كيمياء النانو
الكيمياء السريرية
الكيمياء الطبية والدوائية
كيمياء الاغذية والنواتج الطبيعية
الكيمياء الجنائية
الكيمياء الصناعية
البترو كيمياويات
الكيمياء الخضراء
كيمياء البيئة
كيمياء البوليمرات
مواضيع عامة في الكيمياء الصناعية
الكيمياء الاشعاعية والنووية
Homogeneous catalysis: Offering an easier path
المؤلف:
John T. Moore, EdD
المصدر:
Chemistry Essentials For Dummies
الجزء والصفحة:
p 110
15-1-2017
609
Homogeneous catalysis: Offering an easier path
The second type of catalyst is a homogeneous catalyst — one that is in the same phase as the reactants. It provides an alternative mechanism, or reaction pathway, that has a lower activation energy than the original reaction. For an example, check out the decomposition reaction of hydrogen peroxide:
2H2O2(l) → 2 H2O(l) + O2(g)
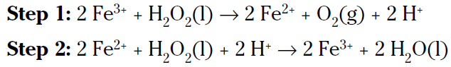
This is a slow reaction, especially if you keep the hydrogen peroxide cool in a dark bottle. The hydrogen peroxide in that bottle in your medicine cabinet may take years to decompose. But if you put a little bit of a solution containing the ferric ion in the bottle, the reaction will be much faster, even though it’ll be a two-step mechanism instead of a one-step mechanism:
If you add the two preceding reactions together and cancel the species that are identical on both sides, you get the original, uncatalyzed reaction (species to be cancelled are bolded):
The ferric ion catalyst was changed in the first step and then changed back in the second step. This two-step catalyzed pathway has a lower activation energy and is faster.
الاكثر قراءة في حركية التفاعلات الكيميائية
اخر الاخبار
اخبار العتبة العباسية المقدسة

الآخبار الصحية
