0
EN
1
المرجع الالكتروني للمعلوماتية

علم الكيمياء

تاريخ الكيمياء والعلماء المشاهير

التحاضير والتجارب الكيميائية

المخاطر والوقاية في الكيمياء

اخرى

مقالات متنوعة في علم الكيمياء

كيمياء عامة

الكيمياء التحليلية

مواضيع عامة في الكيمياء التحليلية

التحليل النوعي والكمي

التحليل الآلي (الطيفي)

طرق الفصل والتنقية

الكيمياء الحياتية

مواضيع عامة في الكيمياء الحياتية

الكاربوهيدرات

الاحماض الامينية والبروتينات

الانزيمات

الدهون

الاحماض النووية

الفيتامينات والمرافقات الانزيمية

الهرمونات

الكيمياء العضوية

مواضيع عامة في الكيمياء العضوية

الهايدروكاربونات

المركبات الوسطية وميكانيكيات التفاعلات العضوية

التشخيص العضوي

تجارب وتفاعلات في الكيمياء العضوية

الكيمياء الفيزيائية

مواضيع عامة في الكيمياء الفيزيائية

الكيمياء الحرارية

حركية التفاعلات الكيميائية

الكيمياء الكهربائية

الكيمياء اللاعضوية

مواضيع عامة في الكيمياء اللاعضوية

الجدول الدوري وخواص العناصر

نظريات التآصر الكيميائي

كيمياء العناصر الانتقالية ومركباتها المعقدة

مواضيع اخرى في الكيمياء

كيمياء النانو

الكيمياء السريرية

الكيمياء الطبية والدوائية

كيمياء الاغذية والنواتج الطبيعية

الكيمياء الجنائية

الكيمياء الصناعية

البترو كيمياويات

الكيمياء الخضراء

كيمياء البيئة

كيمياء البوليمرات

مواضيع عامة في الكيمياء الصناعية

الكيمياء التناسقية

الكيمياء الاشعاعية والنووية

قم بتسجيل الدخول اولاً لكي يتسنى لك الاعجاب والتعليق.

PHASE TWO CHANGES

المؤلف:  James R Hanson

المصدر:  Chemistry and Medicines

الجزء والصفحة:  p32

29-3-2016

1471

+

-

20

PHASE TWO CHANGES

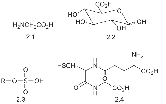
The phase two changes involve linking a water-solubilizing group to the drug. The common groups are glucuronic acid 2.2, which is provided by uridine-5-diphosphate a-D-glucuronic acid, the sulfate 2.3, which is provided by 30-phosphoadenosine-50-phosphonosulfate and the amino acids, glycine 2.1 and taurine. An important conjugation utilizes the tripeptide glutathione 2.4.

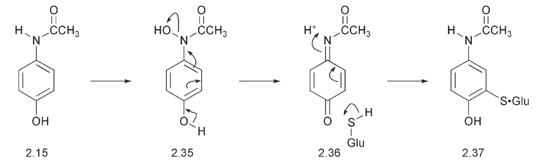
This possesses a thiol, which is a powerful nucleophile that can add to electron-deficient carbon atoms. Since electron-deficient centres can be created by oxidative processes and might otherwise be attacked by free amino groups of nucleic acids and proteins, the glutathione conjugation serves to protect the liver from damage. An example is provided by the metabolism of paracetamol. Oxidation of paracetamol takes place on the nitrogen with the formation of an N–OH 2.35 and this leads, after elimination to the quinone-imine 2.36. The latter is very electron-deficient and readily adds nucleophiles such as the NH2 from a protein. The consequence of this addition is that the paracetamol becomes bound to the liver causing liver damage. Glutathione 2.4 provides protection against this by adding to the quinone imine 2.36 to give a conjugate 2.37. If there is insufficient glutathione in the liver and the amount available is exhausted as in a paracetamol overdose, liver damage with potentially fatal consequences, ensues. Treatment involves the rapid administration of a thiol containing drug such as methionine or acetylcysteine.

اخر الاخبار

اشترك بقناتنا على التلجرام ليصلك كل ما هو جديد