

علم الكيمياء

تاريخ الكيمياء والعلماء المشاهير

التحاضير والتجارب الكيميائية

المخاطر والوقاية في الكيمياء

اخرى

مقالات متنوعة في علم الكيمياء

كيمياء عامة


الكيمياء التحليلية

مواضيع عامة في الكيمياء التحليلية

التحليل النوعي والكمي

التحليل الآلي (الطيفي)

طرق الفصل والتنقية


الكيمياء الحياتية

مواضيع عامة في الكيمياء الحياتية

الكاربوهيدرات

الاحماض الامينية والبروتينات

الانزيمات

الدهون

الاحماض النووية

الفيتامينات والمرافقات الانزيمية

الهرمونات


الكيمياء العضوية

مواضيع عامة في الكيمياء العضوية

الهايدروكاربونات

المركبات الوسطية وميكانيكيات التفاعلات العضوية

التشخيص العضوي

تجارب وتفاعلات في الكيمياء العضوية


الكيمياء الفيزيائية

مواضيع عامة في الكيمياء الفيزيائية

الكيمياء الحرارية

حركية التفاعلات الكيميائية

الكيمياء الكهربائية


الكيمياء اللاعضوية

مواضيع عامة في الكيمياء اللاعضوية

الجدول الدوري وخواص العناصر

نظريات التآصر الكيميائي

كيمياء العناصر الانتقالية ومركباتها المعقدة


مواضيع اخرى في الكيمياء

كيمياء النانو

الكيمياء السريرية

الكيمياء الطبية والدوائية

كيمياء الاغذية والنواتج الطبيعية

الكيمياء الجنائية


الكيمياء الصناعية

البترو كيمياويات

الكيمياء الخضراء

كيمياء البيئة

كيمياء البوليمرات

مواضيع عامة في الكيمياء الصناعية

الكيمياء الاشعاعية والنووية
الأدلة المستخدمة في معايرات التعادل Acid-Base Indicators
المؤلف:
أ. د محمد مجدي واصل
المصدر:
اسس الكيمياء التحليلية
الجزء والصفحة:
ص 177 -180
2023-09-18
3297
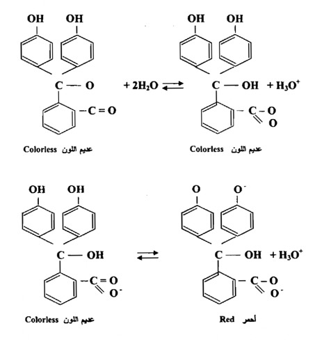
ويمكن تعريف أدلة التعادل عامة أنها أحماض عضوية أو قواعد عضوية ضعيفة يتغير لونها أو ينطلق منها وميض عند درجة معينة من درجات الـ pH وذلك بإضافة حامض أو قاعدة ، ولمعظم هذه الأدلة لونان متباينان أو أكثر يظهر أحدهما في الوسط الحامضي ويظهر الآخر في الوسط القاعدي وتعرف بالأدلة ثنائية اللون ، كما يوجد بعض الأدلة أحادية اللون مثل الفينولفثالين فهو عديم اللون في الوسط الحامضي وارجواني اللون في الوسط القاعدي . وهو حامض ضعيف ثابت التأين له يساوي -91x 10 ويوجد في الصورتين التركيبيتين الأولي والثانية ويتأين إلى الصورة الثالثة كما في المعادلات الآتية:
دلائل الفثالين : Phthalein Indicators
ولقد وجد أن معظم أدلة الفثالين عديمة اللون في المحاليل معتدلة الحامضية وتظهر ألواناً مختلفة في الأوساط القاعدية . مجموعة الفثالين شحيحة الذوبان فـــي الماء ويعد الكحول الايثيلي المذيب الاعتيادي لمحاليل هذه الدلائل .
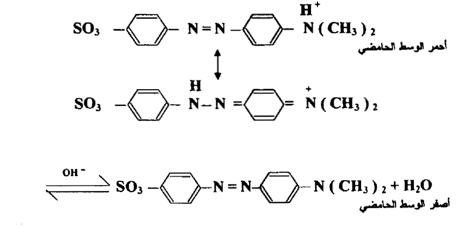
ومن أمثلة القواعد الضعيفة التي تعمل بوصفها أدلة هي أدلة الأزو Azo Indicators تظهر معظم أدلة الأزو تغيراً في اللون من الأحمر إلي الأصفر كلما زادت القاعدية ، ويكون مدى التحول عامة إلى الجهة الحامضية من التعادل ، أن أكثر أدلة الأزو شائعة الاستعمال المثيل البرتقالي والمثيل الأحمر ، وان تأين الأول كما ياتي :

يكون تصرف المثيل الأحمر متشابهاً لتصرف المثيل البرتقالي عدا أن مجموعة حامض السلفونيك تبدل بمجموعة حامض الكاربوكزليك ، يؤدي في الإحلال علـى نيتروجين الآمين وفي الحلقات إلى سلسلة من الدلائل تختلف قليلاً في الخواص .
وتستخدم الدلائل في تعيين نقطة التكافؤ أو نقطة النهاية في إثناء المعايرة لمحلول قاعدي بواسطة محلول قياسي حامضي أو بالعكس وإن الدقة في تعيين نقطة التكافؤ ومن ثم نتيجة التقدير الكمي للحامض - أو القاعدة الذي يتم معايرته تتوقف علي الدقة في اختيار الدليل الحامضي القاعدي المناسب
الاكثر قراءة في مواضيع عامة في الكيمياء التحليلية
اخر الاخبار
اخبار العتبة العباسية المقدسة
الآخبار الصحية

قسم الشؤون الفكرية يصدر كتاباً يوثق تاريخ السدانة في العتبة العباسية المقدسة
"المهمة".. إصدار قصصي يوثّق القصص الفائزة في مسابقة فتوى الدفاع المقدسة للقصة القصيرة
(نوافذ).. إصدار أدبي يوثق القصص الفائزة في مسابقة الإمام العسكري (عليه السلام)