

علم الكيمياء

تاريخ الكيمياء والعلماء المشاهير

التحاضير والتجارب الكيميائية

المخاطر والوقاية في الكيمياء

اخرى

مقالات متنوعة في علم الكيمياء

كيمياء عامة


الكيمياء التحليلية

مواضيع عامة في الكيمياء التحليلية

التحليل النوعي والكمي

التحليل الآلي (الطيفي)

طرق الفصل والتنقية


الكيمياء الحياتية

مواضيع عامة في الكيمياء الحياتية

الكاربوهيدرات

الاحماض الامينية والبروتينات

الانزيمات

الدهون

الاحماض النووية

الفيتامينات والمرافقات الانزيمية

الهرمونات


الكيمياء العضوية

مواضيع عامة في الكيمياء العضوية

الهايدروكاربونات

المركبات الوسطية وميكانيكيات التفاعلات العضوية

التشخيص العضوي

تجارب وتفاعلات في الكيمياء العضوية


الكيمياء الفيزيائية

مواضيع عامة في الكيمياء الفيزيائية

الكيمياء الحرارية

حركية التفاعلات الكيميائية

الكيمياء الكهربائية


الكيمياء اللاعضوية

مواضيع عامة في الكيمياء اللاعضوية

الجدول الدوري وخواص العناصر

نظريات التآصر الكيميائي

كيمياء العناصر الانتقالية ومركباتها المعقدة


مواضيع اخرى في الكيمياء

كيمياء النانو

الكيمياء السريرية

الكيمياء الطبية والدوائية

كيمياء الاغذية والنواتج الطبيعية

الكيمياء الجنائية


الكيمياء الصناعية

البترو كيمياويات

الكيمياء الخضراء

كيمياء البيئة

كيمياء البوليمرات

مواضيع عامة في الكيمياء الصناعية

الكيمياء التناسقية

الكيمياء الاشعاعية والنووية
التحكم في الحامضية عند الترسيب بكبريتيد الهيدروجين Control of Acidity at Hydrogen sulfide precipitations.
المؤلف:
أ. د محمد مجدي واصل
المصدر:
اسس الكيمياء التحليلية
الجزء والصفحة:
ص 83-84
2023-09-14
1757
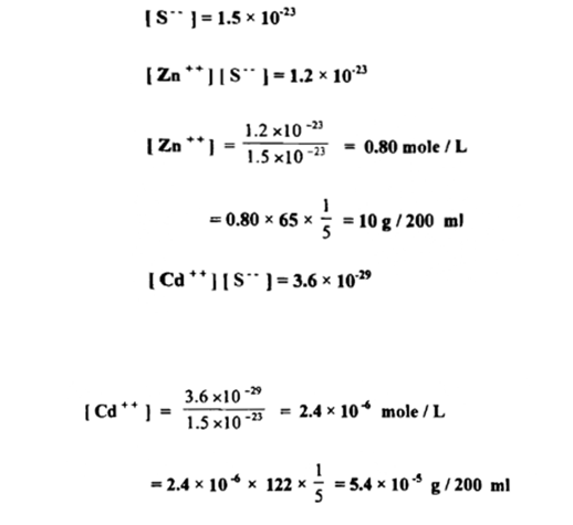
يعتبر أكثر عامل مهم يؤثر علي الفصل هو تركيز أيون الكبريتيد والذي يمكن السيطرة عليه عن طريق عن طريق تنظيم تركيز أيون الهيدروجين . حيث يمكن السيطرة على تركيز أيون الكبريتيد الي درجة أن حاصلات إذابة كبريتيدات معينة تزداد بكثرة بينما حاصل إذابات كبريتيدات أخرى لا تزداد ويكون التأثير الكمـــي للحامض هو على تأين كبريتيد الهيدروجين ولقد شرحنا سابقاً حسابات تركيز أيـــون الكبريتيد والتي سوف تراجعها الآن .
مثال 22 :
كم عدد جرامات ++Zn وعدد جرامات ++Cd التي يمكن أن يبقي ذائباً في 200 H2S مل من محلول HCl+H2S علماً بأن تركيز الكبريتيد هوX10-231.5 وأن حاصل إذابة
X10 -23 =ZnS1.2 وأن حاصل إذابة 3.6 x 10 -29 CdS
الحل :

الاكثر قراءة في مواضيع عامة في الكيمياء التحليلية
اخر الاخبار
اخبار العتبة العباسية المقدسة
الآخبار الصحية

قسم الشؤون الفكرية يصدر كتاباً يوثق تاريخ السدانة في العتبة العباسية المقدسة
"المهمة".. إصدار قصصي يوثّق القصص الفائزة في مسابقة فتوى الدفاع المقدسة للقصة القصيرة
(نوافذ).. إصدار أدبي يوثق القصص الفائزة في مسابقة الإمام العسكري (عليه السلام)