
الادارة الهندسية

الانشاءات

الطرق والمواصلات

الموارد المائية

هندسة الجيوتكنك
خواص الركام
المؤلف:
د. محمد عمران مبارك – د. محمد حليفة علي
المصدر:
هندسة الرصف
الجزء والصفحة:
ص – 50 - ص 51
2023-05-27
3937
يجب أن تتوفر في الركام المستخدم في أعمال الرصف عدد من الخواص الطبيعية والميكانيكية المهمة مثل القوة و الشكل والملمس السطحي و امتصاص الماء و البيتومين وكذلك الالتصاق بالمادة الرابطة .
1- التدرج ( Gradation ) :
التدرج أو توزيع الحجم الحبيبي من أهم الخواص التي تعتمد عليها صلاحية الركام للاستخدام في غرض معين معظم المواصفات الخاصة الخلطات الإسفلتية تشترط توزيع حجمي لحبيبات الركام يوفر بالخرسانة طبقة كثيفة وقوية من الركام و يتحقق ذلك بأن يكون شكل منحنى التدرج للركام مشابها لتلك المبينة في شكل 1 ويتضمن هذا الشكل كثافة قصوى وبالتالي خلطة قوية ، إذ أن الفراغات بين قطع الركام الأكبر يتم ملؤها بقطع متوسطة. والفراغات المتبقية تملأ بحبيبات اصغر وهكذا حتى تملأ اصغر الفراغات بكمية قليلة من المواد الناعمة .

شكل 1 تدرج الحجم الحبيبي للركام
ومن ناحية أخرى تعتبر الخلطات عالية الكثافة مهمة من وجهة النظر الاقتصادية، إذ انه يجب تغليف حبيبات الركام في الخلطات الإسفلتية بواسطة المادة الرابطة و كذلك ملء معظم الفراغات بين الجزيئات للحصول على خلطة قوية، وبذلك فإنه عندما يقوم الجزء الأرخص في الخلطة وهو الركام بملء معظم الفراغات بين قطع الركام الكبيرة يمكن الحصول على خلطة اقتصادية وغالباً يتم تحديد نسبة المواد الناعمة في الخلطة وذلك لأنها ضعيفة و تغليفها يحتاج إلى كمية كبيرة من المادة الرابطة، كما أنها في حالة وجودها كغبار على القطع الكبيرة يمكن أن تضعف الرابطة بين المادة الرابطة وحبيبات الركام كذلك فان نسبة المار من المنخل رقم 200 (طين وطمي) تعتبر مهمة جدا في التحكم في جودة الخلطة.
2- القوة ( Strength ) :
تعبر القوة عن قدرة الركام على مقاومة تأثير الأحمال المطبقة عليه والمتمثلة في أوزان المركبات التي تستخدم الرصف وفي تأثير العوامل البيئية المختلفة مثل درجات الحرارة و الثلوج و مياه الأمطار. يتعرض الركام الموجود في طبقات الرصف المختلفة إلى أحمال الضغط ، والتي قد تؤدي إلى تهشيم حبيبات الركام وبذلك فان الركام المقبول للاستخدام في خلطات الرصف يجب أن يكون مقاوم للتهشيم Crushing .
يتعرض الركام وخاصة في الطبقة السطحية للصدم نتيجة للأوزان الساقطة عليه لذلك يجب أن يتمتع الركام بمقاومته للكسر و هو ما يعرف بخاصية الصلابة Toughness . كما يتعرض الركام الموجود بسطح الطريق العمليات البرى والتأكل بسبب احتكاكه بعجلات المركبات ، و لمقاومة ذلك يجب أن يتميز الركام بخاصية الصلادة Hardness وهي مقاومة الركام للخدش.
3- الشكل و الملمس السطحي Shape and surface texture:
لشكل الركام و ملمسه السطحي تأثير كبير عند استخدامه في طبقات الرصف المختلفة من حيث الثبات والتماسك للطبقات الركامية مثل الأساس و الأساس المساعد أو في خلطات الخرسانة الإسفلتية المستخدمة في الطبقات السطحية وكذلك خاصية التشغيل أثناء تجهيز الخلطات أو دمك طبقات الرصف في الموقع .
يقسم الركام من حيث الشكل إلى عدة أنواع منها المدور Rounded والمكعب Cubical والزاوي Angular والمفلطح Flaky والمطول Elongated كما انه من حيث الملمس السطحي لحبيبات الركام يمكن أن تكون ناعمة (ملساء) مثل ما هو الحال في الحصى الموجود في مجاري الوديان أو تكون خشنة كما هو الحال بالنسبة للركام المنتج من كسر الصخور وتفضل الأسطح الخشنة عن الملساء لأنها توفر احتكاك أفضل بين جزيئات الركام و الذي يمنعها من الانزلاق ويزيد مقاومتها للأحمال ،
كما يحسن قابليتها للالتصاق بالمادة الرابطة للحصول على ثبات أفضل للرصف كنتيجة لتداخل اكبر بين حبيبات الركام وبالتالي فراغات هوائية أقل ما يمكن فإنه يفضل استعمال الركام المكعب و الزاوي . للرفع من درجة تشغيل الخلطة الإسفلتية أثناء عملية الخلط والدمك يفضل استعمال الركام المدور. هذا و للحصول على أفضل النتائج للخلطة الإسفلتية والاستفادة من ميزات كل نوع يوصى باستخدام خليط من الركام الزاوي و المدور حسب نسب تحدد معمليا ويعتبر نوعى الركام المفلطح والمطول غير مرغوبين في أعمال الرصف بسبب سهولة كسرهما ، و لذلك يجب تجنبهما بقدر الإمكان. و في حالة الضرورة يجب أن لا تزيد نسبتهما عن 10% من أجمالي الوزن الكلي للركام المستخدم في الخلطة.
4- الالتصاق مع البيتومين Adhesion with bitumen :
تعتبر هذه الخاصية ذات أهمية كبيرة في تحديد مدى تماسك و ترابط الخلطة الإسفلتية وبالتالي ثباتها وقوتها وأيضا مرونتها و مقاومتها لإجهادات الشد و يعود ذلك إلى طبيعة تركيب الخلطة حيث إن البيتومين يعمل على تغليف قطع الركام في الخلطة و يملأ جزءا من الفراغات المحصورة بينها. وتعمل الأغشية البيتومينية الرقيقة (8-14 مايكرومتر ) التي تغلف حبيبات الركام على ربطها مع بعضها البعض وجعلها تعمل كوحدة موحدة عند تعرضها للإجهادات المختلفة كما أن الالتصاق بين حبيبات الركام الذي توفره المادة الرابطة (البيتومين) يمنع انسلاخ حبيبات الركام و تناثرها بسبب حركة عجلات المركبات أو العوامل الجوية وخاصة عند تعرضها للمياه أو التجوية. لذلك فان اختيار نوع الركام المناسب للخلطة من حيث قابليته للالتصاق بالمادة الرابطة يعد من أساسيات تصميم الخلطة الناجحة.
و بشكل عام تعتمد قابلية الركام للالتصاق بالمادة الرابطة على نوع الصخر المنتج منه الركام وخاصة الشحنة الكهربائية التي تحملها قطع الصخور على سطحها و كذلك التركيب المسامي للصخر و مدى امتصاصه للماء أو البيتومين كما تعتمد خاصية الالتصاق بين الركام و البيتومين أيضا على نوع المادة البيتومينية المستعملة في الخلطة و خواصها الفيزيائية والكيميائية.
5- الديمومة Durability :
يتعرض الركام المستخدم في رصف الطرق أثناء الخدمة إلى تأثيرات مستمرة ومتكررة من الأحمال المختلفة الناتجة عن استخدام الطريق بواسطة المركبات و بسبب التغيرات في الظروف البيئية والمناخية. و يؤدى تكرار هذه التأثيرات إلى تفتت الركام و تأكله و من ثم فقده لخصائصه الميكانيكية المطلوبة لذلك يجب إن يتميز الركام المستخدم في الرصف بقدرته على مقاومة العوامل الجوية و ألا يفقد خواصه المرغوبة بفعل التقادم ويعبر عن خاصية مقاومة الركام للتقادم هذه بالديمومة أو المعايشة. ويمكن التعبير عن هذه الخاصية أيضا بمدى قدرة الركام على المحافظة على بقية خواصه المرغوبة مثل القوة والملمس السطحي والالتصاق بالبيتومين ...الخ. وذلك للمدة الزمنية المطلوبة. وتقاس الديمومة للركام معمليا بواسطة اختبار المتانة .
6- الكثافة النسبية والامتصاص Relative density and absorp
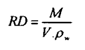
الكثافة النسبية الكثافة النوعية وامتصاص الركام للماء من الخواص المهمة و خاصة في تصميم الخلطات الخرسانية و الإسفلتية. عند تصميم الخلطة من الضروري قياس الحجوم التي تشغلها كتل محددة من الركام. لذلك يجب أن تؤخذ الفراغات الموجودة بالركام في الاعتبار. يعتبر الركام مادة مسامية ، حيث يمكن للماء أن يتسرب إلى داخل المسام الموجودة في حبيبات الركام يبين الشكل 3.4 حالات الرطوبة المختلفة التي يمكن أن يوجد فيها الركام وتحسب الكثافة النسبية من العلاقة:

حيث :
RD = الكثافة النسبية (Relative Density)
M= كتلة عينة الركام (Mass)
V = حجم عينة الركام (Volume)
Pw = كثافة الماء
و اعتمادا على الحالة الموجود فيها الركام فان الكتلة يمكن أن تكون الكتلة الجافة أو الكتلة الكلية (بما فيها الماء الممتص وكذلك فان الحجم يمكن أن يكون الحجم الكلي Bulk Volume أو الحجم الصافي Net Volume وهو الحجم الكلى مطروحا منه حجم الماء الممتص كما إن جزيئات الركام يمكن ان تحتوى مقدار من الرطوبة على سطحها إضافة إلى الماء الممتص بداخل المسامات.
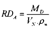
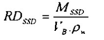
ويوضح الشكل 2 هذه الحالات وبذلك تكون القيم المختلفة للكثافة
النسبية للركام كما يلي :
أ- الكثافة الظاهرية Apparent density

ب- الكثافة النسبية الكلية Bulk

ج- الكثافة النسبية في حالة التشبع وجفاف السطح Satur. Surface Dry


شكل 2 حالات الرطوبة لحبيبات الركام
د - نسبة الامتصاص ( Percent Absorption )

حيث :
MD = الكتلة الجافة (dry mass)
= MSSD الكتلة في حالة التشبع وجفاف السطح
Saturated surface dry
MWA = كتلة الماء الممتص
VS = الحجم الكلى
VN = الحجم الصافي
الاكثر قراءة في الطرق والمواصلات
اخر الاخبار
اخبار العتبة العباسية المقدسة
الآخبار الصحية

قسم الشؤون الفكرية يصدر كتاباً يوثق تاريخ السدانة في العتبة العباسية المقدسة
"المهمة".. إصدار قصصي يوثّق القصص الفائزة في مسابقة فتوى الدفاع المقدسة للقصة القصيرة
(نوافذ).. إصدار أدبي يوثق القصص الفائزة في مسابقة الإمام العسكري (عليه السلام)