

علم الكيمياء

تاريخ الكيمياء والعلماء المشاهير

التحاضير والتجارب الكيميائية

المخاطر والوقاية في الكيمياء

اخرى

مقالات متنوعة في علم الكيمياء

كيمياء عامة


الكيمياء التحليلية

مواضيع عامة في الكيمياء التحليلية

التحليل النوعي والكمي

التحليل الآلي (الطيفي)

طرق الفصل والتنقية


الكيمياء الحياتية

مواضيع عامة في الكيمياء الحياتية

الكاربوهيدرات

الاحماض الامينية والبروتينات

الانزيمات

الدهون

الاحماض النووية

الفيتامينات والمرافقات الانزيمية

الهرمونات


الكيمياء العضوية

مواضيع عامة في الكيمياء العضوية

الهايدروكاربونات

المركبات الوسطية وميكانيكيات التفاعلات العضوية

التشخيص العضوي

تجارب وتفاعلات في الكيمياء العضوية


الكيمياء الفيزيائية

مواضيع عامة في الكيمياء الفيزيائية

الكيمياء الحرارية

حركية التفاعلات الكيميائية

الكيمياء الكهربائية


الكيمياء اللاعضوية

مواضيع عامة في الكيمياء اللاعضوية

الجدول الدوري وخواص العناصر

نظريات التآصر الكيميائي

كيمياء العناصر الانتقالية ومركباتها المعقدة


مواضيع اخرى في الكيمياء

كيمياء النانو

الكيمياء السريرية

الكيمياء الطبية والدوائية

كيمياء الاغذية والنواتج الطبيعية

الكيمياء الجنائية


الكيمياء الصناعية

البترو كيمياويات

الكيمياء الخضراء

كيمياء البيئة

كيمياء البوليمرات

مواضيع عامة في الكيمياء الصناعية

الكيمياء الاشعاعية والنووية
Reversible or Opposing Reactions
المؤلف:
Arun Bahl, B.S. Bahl and G.D.Tuli
المصدر:
Essential Physical Chemistry
الجزء والصفحة:
p 763
30-9-2018
1297
Reversible or Opposing Reactions
In reversible or opposing reactions the products formed also react to give back the reactants.
Initially, the rate of forward reaction is very large which decreases with passage of time and the rate of backward or reverse reaction is zero which increases with passage of item. A stage is reached when two rates become equal. This situation is called the chemical equilibrium. It is dynamic in nature i.e., all the species are reaching at the rate at which they are being formed. A reaction of this type may be represented as

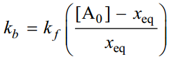
where kf and kb are the rate constants of the forward and backward reactions respectively.
The overall rate of reaction is given by
Rate of Reaction = Rate of forward reaction – Rate of backward reaction

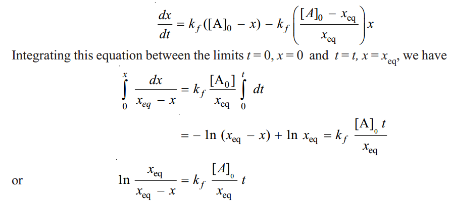
Substituting the value of kb in equation (ii), we get

From this equation we can find the value of kf from the quantities [A]0, xeq and x at time t. All these quantities can be measured easily. From the value of kf the value of kb can be calculated by using the relation.

الاكثر قراءة في حركية التفاعلات الكيميائية
اخر الاخبار
اخبار العتبة العباسية المقدسة
الآخبار الصحية

قسم الشؤون الفكرية يصدر كتاباً يوثق تاريخ السدانة في العتبة العباسية المقدسة
"المهمة".. إصدار قصصي يوثّق القصص الفائزة في مسابقة فتوى الدفاع المقدسة للقصة القصيرة
(نوافذ).. إصدار أدبي يوثق القصص الفائزة في مسابقة الإمام العسكري (عليه السلام)